Fig. 3
From: Microwave photons emitted by fractionally charged quasiparticles

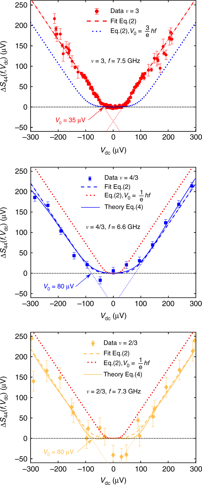
High frequency noise measurements. Measurements of ΔS44(f, Vdc) for the three filling factors at f ≈ 7 GHz. Fits by Eq. (2) with V0 as the fitting parameter are plotted in dashed lines. ΔS44 is rescaled in Volts (see manuscript text). Comparisons with non-equilibrium FDR, Eq. (3), using the measurements of ΔS44(f = 0, Vdc) are represented in solid lines. Finally, the dotted lines represent plots of Eq. (2) with charge q = e/3 at ν = 3 (blue dotted line) and q = e at ν = 4/3 and ν = 2/3 (red dotted line). Error bars are defined as standard error of the mean