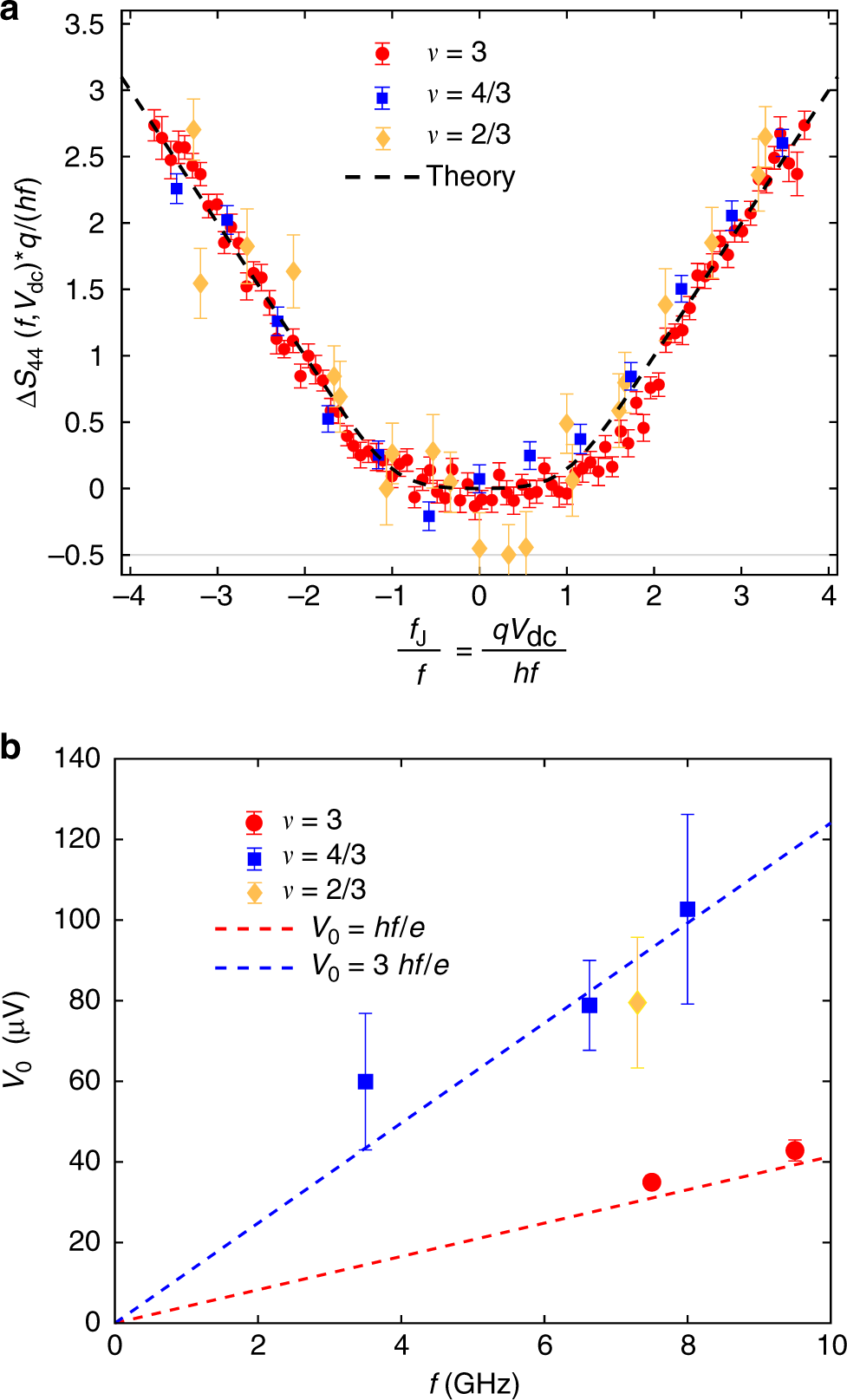
Fig. 4
From: Microwave photons emitted by fractionally charged quasiparticles

The characteristic frequency for fractional quasiparticle transfer. a High frequency noise measurements \(\frac{{q\Delta S_{44}(f,qV_{{\mathrm{dc}}}/(hf))}}{{hf}}\) as a function of the ratio of the characteristic Josephson frequency fJ = qVdc/h with the measurement frequency f. We take q = e for ν = 3 and q = e/3 for ν = 4/3 and ν = 2/3. The black dashed line is \(\frac{{x + 1}}{2}{\mathrm{coth}}\frac{{x + 1}}{{2x_T}} + \frac{{x - 1}}{2}{\mathrm{coth}}\frac{{x - 1}}{{2x_T}} - {\mathrm{coth}}\frac{1}{{2x_T}}\) where \(x_T = \frac{{k_{\mathrm{B}}T}}{{hf}} \approx 0.15\) is the electronic temperature in renormalized units. Error bars are defined as standard error of the mean. b Emission threshold V0 for the three filling factors as a function of the measurement frequency f. The blue dashed line is V0 = 3hf/e. The red dashed line is V0 = hf/e. Error bars represent the 68 percent confidence interval