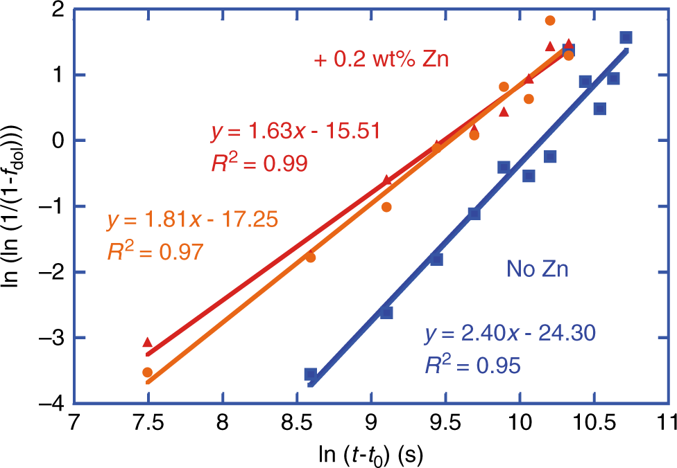
Fig. 5
From: Acceleration of dolomitization by zinc in saline waters

Avrami plot for dolomitization of calcite at 200 °C. The linear best fit trend lines enable derivation of time exponent and rate constant for the control dolomitization experiments (blue), ZnCl2 dolomitization experiments (red), and ZnO dolomitization experiments (orange)