Fig. 2
From: The footprint of column collapse regimes on pyroclastic flow temperatures and plume heights

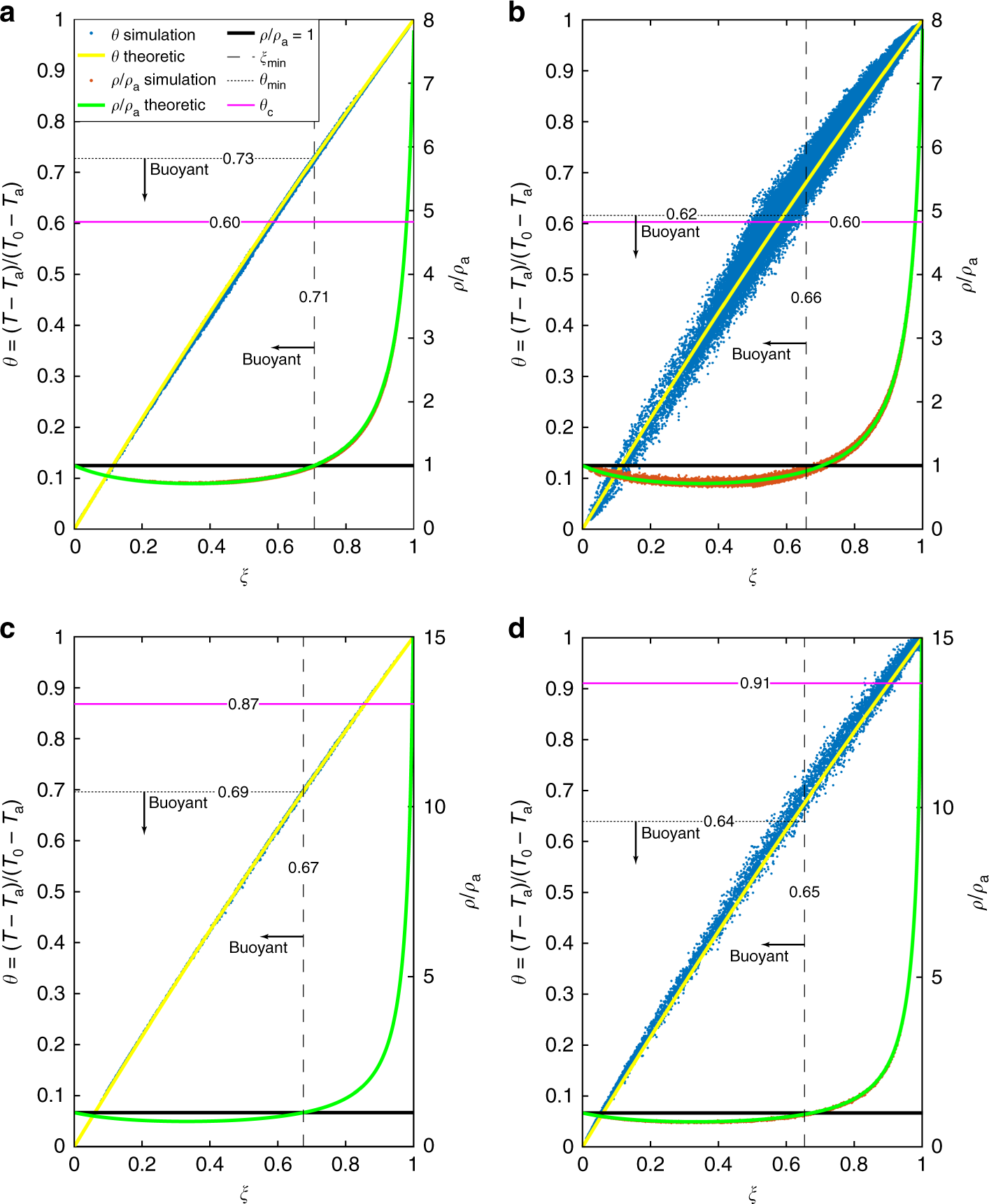
Thermodynamic properties of the collapse region for the reference models. Dimensionless temperature θ and density ρ/ρa as a function of erupted material mass fraction ξ in the collapsing region. Blue and red points are extracted from the numerical simulation data (temperature, mass fractions, and density), and the atmospheric temperature in each cell of the collapse region (see Supplementary Fig. 1). Yellow and green solid lines are obtained from Eqs. (1) and (2), using an average atmospheric temperature between the crater and the collapse height. The magenta solid line highlights the nondimensional value of the average temperature of the collapsing region θc (computed as described in the Methods section), while the black solid line is the level of neutral buoyancy. Black dotted and dashed lines indicate θmin and ξmin, respectively. All the blue points below θmin and all the red points left of ξmin are less dense than the atmosphere at the same height. Panels a and b are for the partial collapse end-member, while c and d are for the total collapse. Panels a and c are for the dusty-gas model, while b and d take into account particle decoupling