Fig. 3
From: The footprint of column collapse regimes on pyroclastic flow temperatures and plume heights

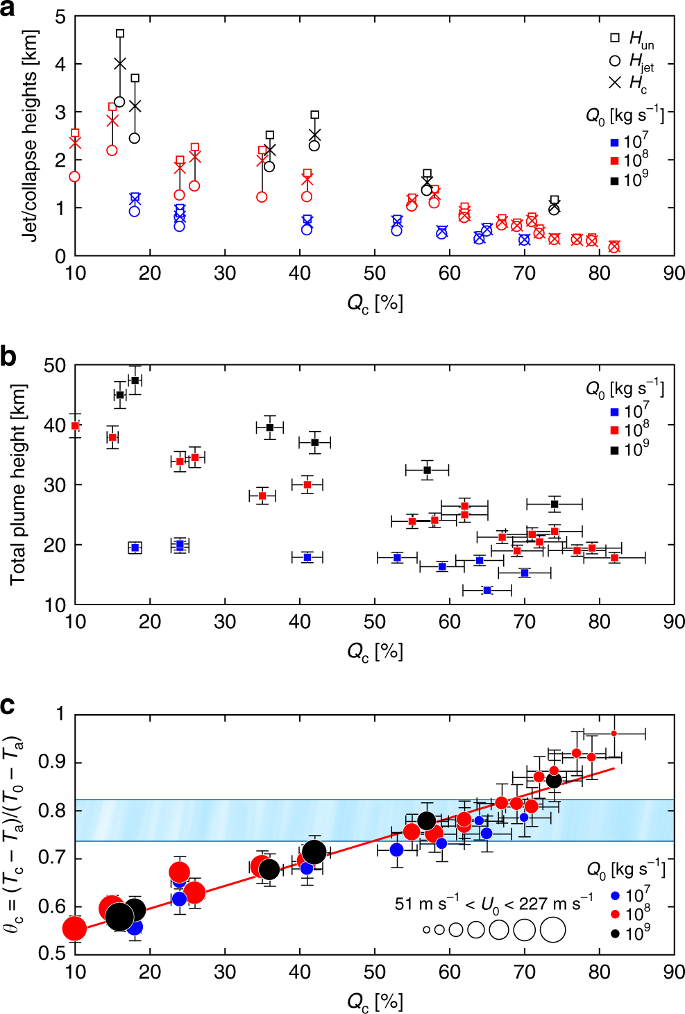
Summary of the numerical results. a Characteristic heights of the eruption jet as a function of the percentage of collapse Qc for all the simulated dynamics. Square symbols show the height at which the mean upward momentum of the central uneroded axis is exhausted (Hun). Circle symbols indicate the height at which the mean upward momentum of the whole eruptive column is exhausted (Hjet). Cross symbols represent the critical height at which the eruptive column starts to collapse (Hc; see Methods section). b Variation of the maximum plume height as a function of Qc. c Relationship between Qc and its corresponding average temperature value Tc normalized to the initial magmatic temperature T0 with respect to the atmospheric air temperature Ta (θc). Blue, red, and black symbols in a–c represent the adopted mass eruption rate Q0 at the source, and their size in c represents the relative exit velocity U0. The upper and lower bounds of the light blue horizontal bar in c result from the ratio between the glass transition temperatures Tg for rhyolitic and trachytic magmas, and their common eruptive temperature ranges. Tg is taken anhydrous consistent with the initial condition of numerical experiments that involve the total volatile exsolution at vent. The red solid line shows the linear least square regression (r2 = 0.92; p value = 1.50 × 10−18). A 10% of error is applied in panels b and c due to the mesh geometry (panel a is excluded for figure readability), as suggested by ref. 23. Full references to the data sets used in the graph are reported in the Supplementary Table 1