Fig. 5
From: Impact of molecular quadrupole moments on the energy levels at organic heterojunctions

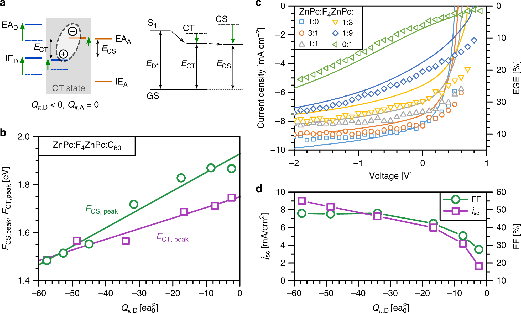
CT exciton dissociation facilitated by quadrupole moments: a Simplified sketch of the donor and acceptor energy levels at the interface (CT state), highlighted by the grey area, and in the bulk of donor and acceptor phase for Qπ,D = 0 (dashed lines) and Qπ,D < 0 (solid lines). The green arrows illustrate the energy shifts due to charge−quadrupole interactions, reducing the CT dissociation barrier (ΔEdiss), i.e. the difference between the energy of separated charges (ECS) and ECT. The right panel sketches the change of ECT and ECS together with the singlet state (S1) energy and the ground state (GS). b ECS,peak, estimated from UPS measurements, increases stronger with the averaged Qπ,D as compared to the peak energy of the CT state (ECT,peak), indicating an enhancement of ΔEdiss with increasing Qπ,D, i.e. with larger F4ZnPc contents. ECS,peak and ECT,peak are obtained from peak positions to exclude energetic disorder and experimental broadening from the analysis. Furthermore, ECS,peak is reduced by 0.6 eV to account for the polarisation difference between surface and bulk59,60. The solid lines are guides to the eye. c Time-delayed collection field (TDCF) measurements show that the reduction in photocurrent and fill factor (FF) for large F4ZnPc contents is caused by field-dependent photocurrent generation. The solid lines and left axis show the current-density/voltage characteristics of the solar cells, whereas the symbols and right axis depict the external generation efficiency (EGE) of the photocurrent. d The increase of ΔEdiss with Qπ,D, as shown in (b), causes a reduction of the short-circuit current density (jsc) and FF of the respective solar cells measured at 1 sun illumination conditions