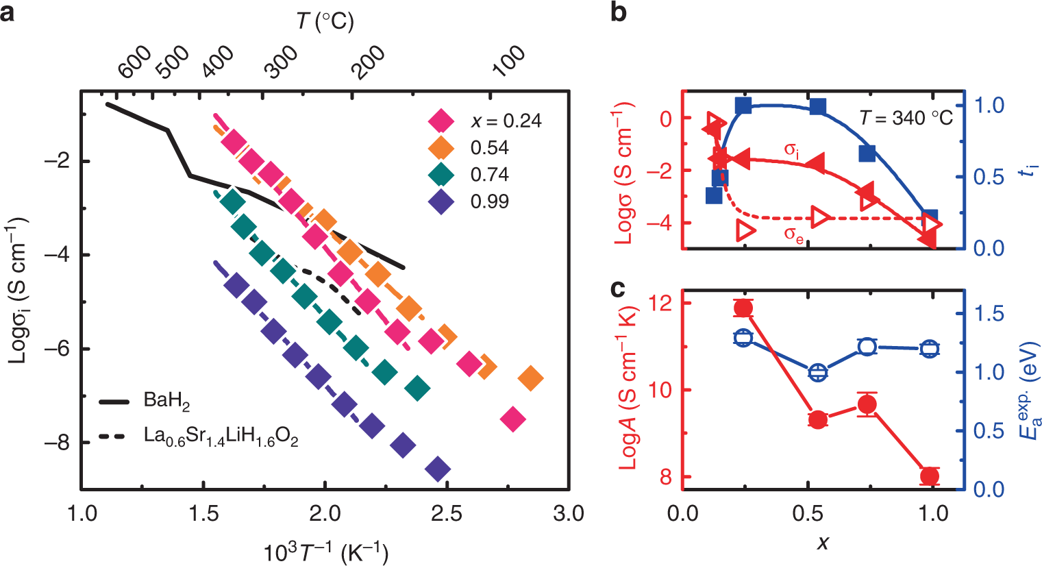
Fig. 3
From: Characteristic fast H− ion conduction in oxygen-substituted lanthanum hydride

x dependence of ionic and electronic conductivities. a Arrhenius plots of LaH3-2xOx and H− conductors reported to date2, 3. b Conductivity (red) and ion transport number ti (blue) as functions of oxygen content x at T = 340 °C. Red open and solid triangles are electronic (σe) and ionic (σi) conductivities, respectively. c Logarithm of pre-exponential factor A (red) and activation energy Eaexp (blue) as functions of oxygen content x, as derived from Eq. 1