Fig. 2
From: Impact of polymorphism on the optoelectronic properties of a low-bandgap semiconducting polymer

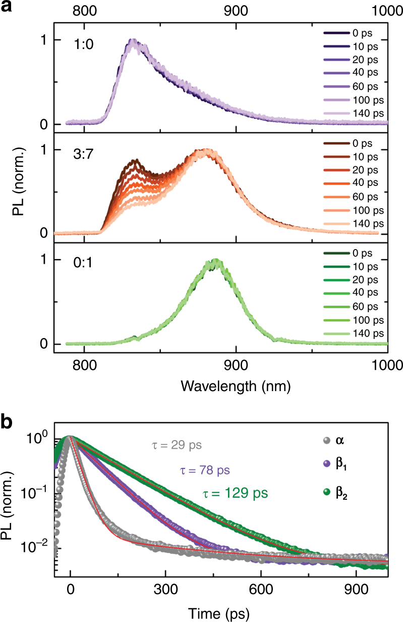
Time-resolved photoluminescence in mixed solvents. a Normalized time-resolved photoluminescence (TRPL) spectra recorded at various time delays for a solution of D-PDPP4T-HD in 1:0, 3:7 and 0:1 (v/v) of chloroform:1,2,4-trichlorobenzene (CF:TCB). The polymer concentration is 0.4 µM. Excitation was performed at 800 nm with 80 MHz laser pulse repetition rate. A 808 nm long-pass filter was used to suppress the scattered laser pulse. b Emission dynamics of α phase from 0:1 solution at 100 °C with λex = 400 nm and λem = 815–865 nm, β1 phase from 1:0 solution with λex = 800 nm and λem = 825–840 nm, and β2 phase from 0:1 solution with λex = 800 nm and λem = 870–890 nm