Fig. 4
From: Thermoresponsive nanoemulsion-based gel synthesized through a low-energy process

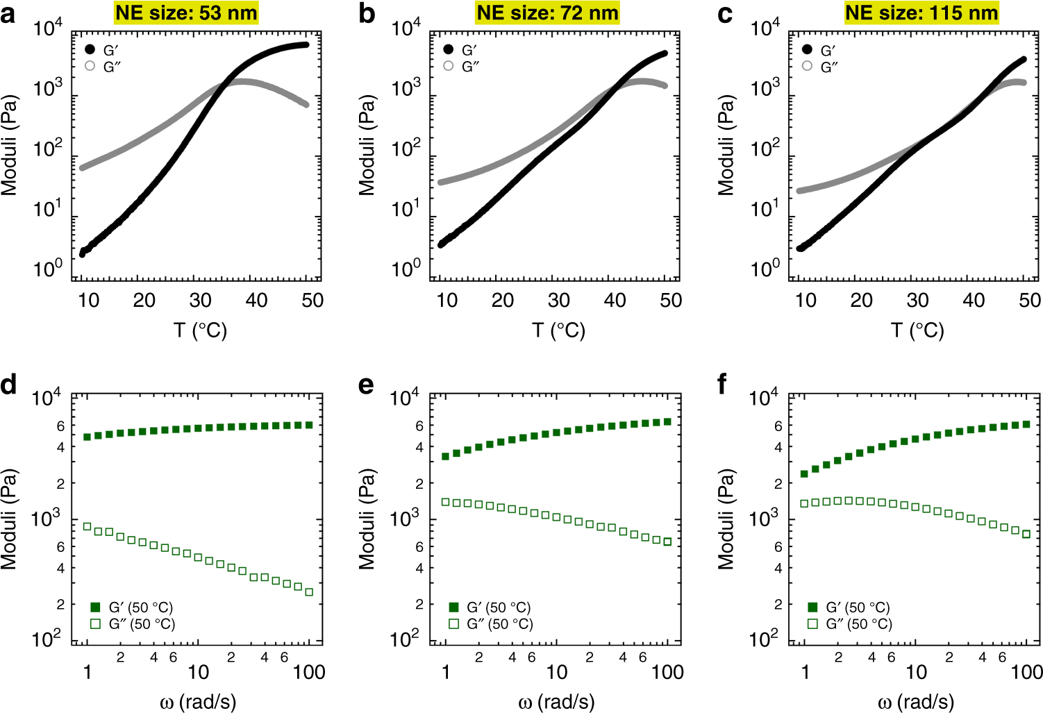
Effect of nanoemulsion (NE) droplet size on rheological properties and gelation temperature Tgel. Shear moduli as a function of temperature and frequency at 50 °C. The top panels show the evolution of the dynamic moduli in a small amplitude oscillatory shear temperature ramp experiment for thermogelling nanoemulsion with hydrodynamic diameters of a 53 nm, b 72 nm, and c 115 nm. Bottom panels d–f show the frequency sweep test at 50 °C for the same systems (applied strain amplitude is 0.1%). All systems contain the same volume fraction of oil droplets (ϕ = 0.24) and chemical composition as the canonical system introduced in Fig. 2; 20% isopropyl myristate as an oil phase, 20% surfactant as an emulsifier (a mixture of Tween 80 and Span 80 with HLB = 13), 5% PEG 400, 4.7% Pluronic (F127/F68: 6/1 g/g), and 50.3% DI water. All concentrations are in mass percentage