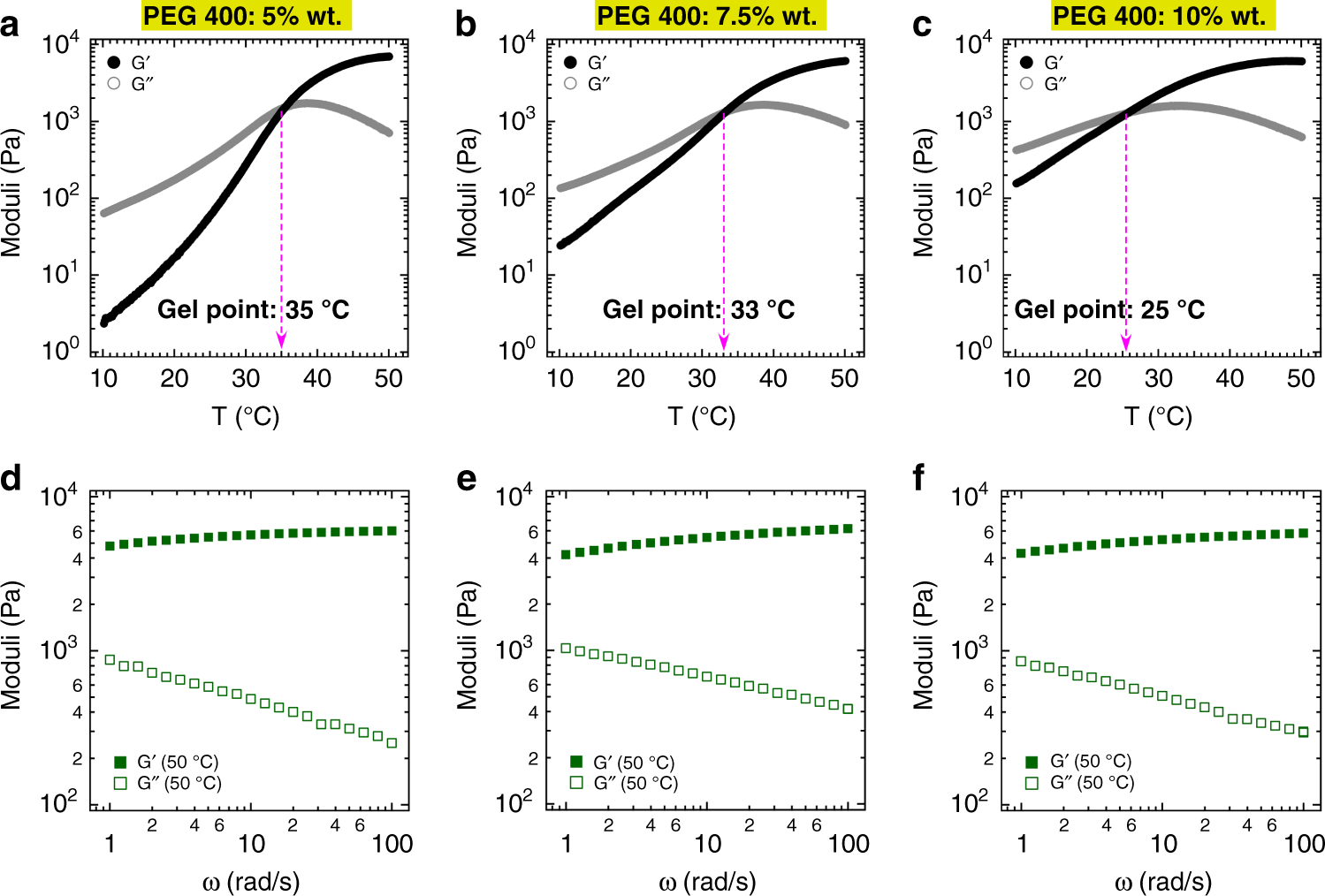
Fig. 5
From: Thermoresponsive nanoemulsion-based gel synthesized through a low-energy process

Effect of cosurfactant PEG 400 concentration on rheological properties and gelation temperature Tgel. Shear moduli as a function of temperature and frequency at 50 °C. Nanoemulsion droplet size (hydrodynamic diameter of 53 nm) and volume fraction (ϕ = 0.24) are kept constant for all formulations. The only difference in the chemical composition of the samples is the amount of added cosurfactant (PEG 400). The top panels a–c show the evolution of the dynamic moduli in a small amplitude oscillatory shear temperature ramp experiment and bottom panels d–f show frequency sweep test at 50 °C for the same systems. The pink lines with arrows in a–c mark the intersection of G′ and G and indicate the gel point