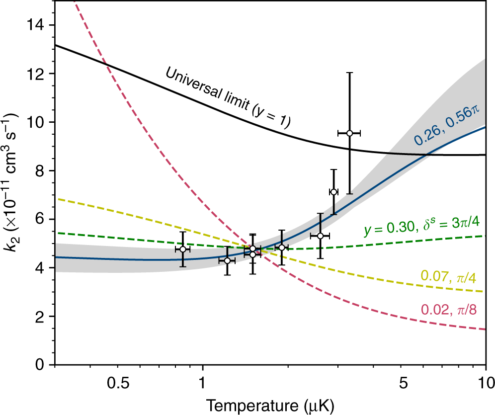
Fig. 3

Temperature dependence of the loss rate coefficient. The horizontal and vertical error bars show the 1σ uncertainties in the measured temperature and loss rate coefficient k2, respectively. The coloured dashed lines all match the experimental rate coefficient at T = 1.5 μK, for a range of values labelled by y, δs that follow the solid black line in Fig. 2. The solid blue line shows the best fit, and the shaded region corresponds to the range of parameters that agree with the experimental results (open circles). The black line shows the loss rate in the universal limit (y = 1)