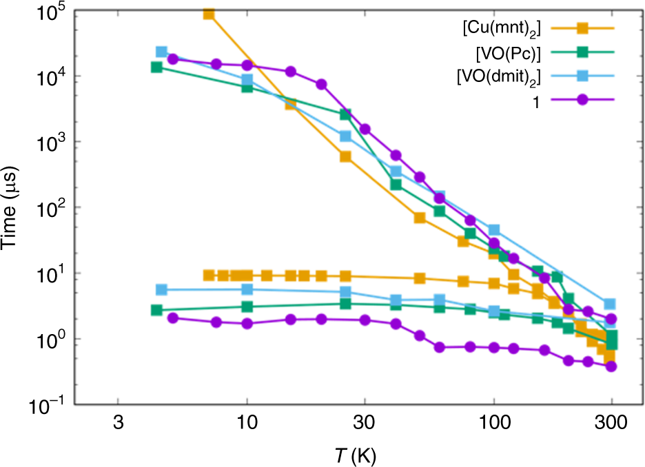
Fig. 5

Spin-lattice and phase memory times for molecular spin qubits.Comparison of T1 (upper) and Tm (lower) as a function of temperature for [Cu(mnt)2] (0.001% solid-state dilution), [VO(Pc)] (0.001% solid-state dilution), [VO(dmit)2] (5% solid-state dilution), and ~2% 1@5