Fig. 8

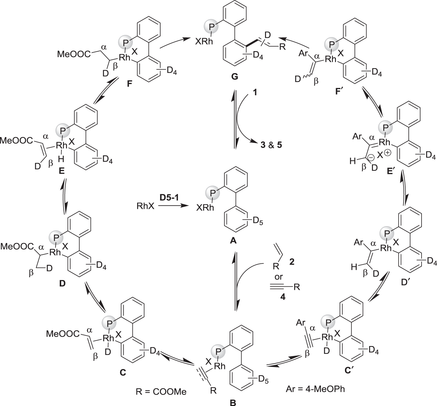
Proposed mechanism. A tentative reaction mechanism involves coordination of Rh species with P atom, C–H activation, insertion of alkenes and alkynes to form the desired products

Proposed mechanism. A tentative reaction mechanism involves coordination of Rh species with P atom, C–H activation, insertion of alkenes and alkynes to form the desired products