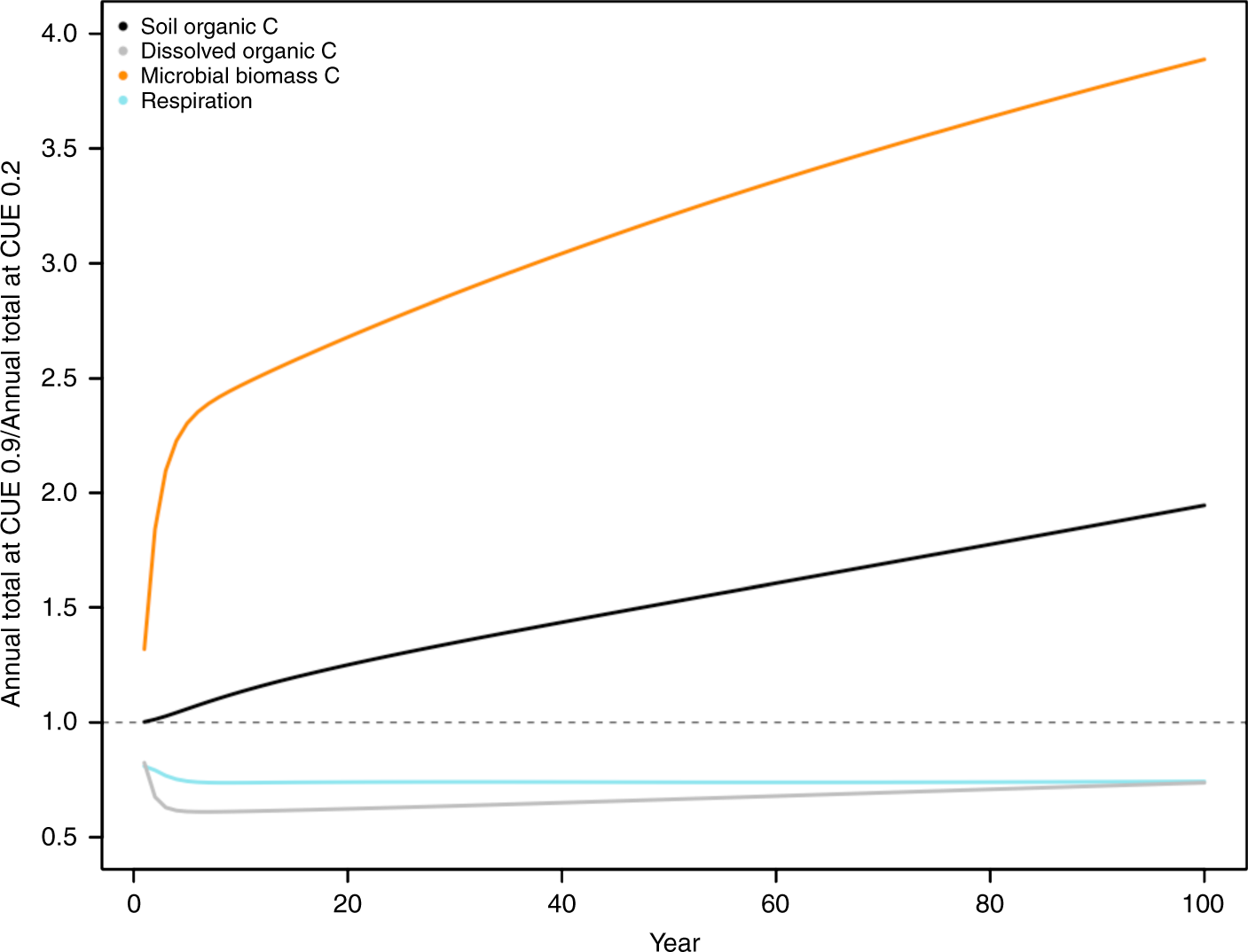
Fig. 6
From: Microbial carbon use efficiency predicted from genome-scale metabolic models

Ecosystem C stocks and fluxes with variable microbial communities. Annual totals for C cycle pools and respiration rates for models for high efficiency taxa (CUE = 0.9) relative to low efficiency taxa (CUE = 0.2) across 100 years. Dashed line represents no difference in model estimates at the two CUE values