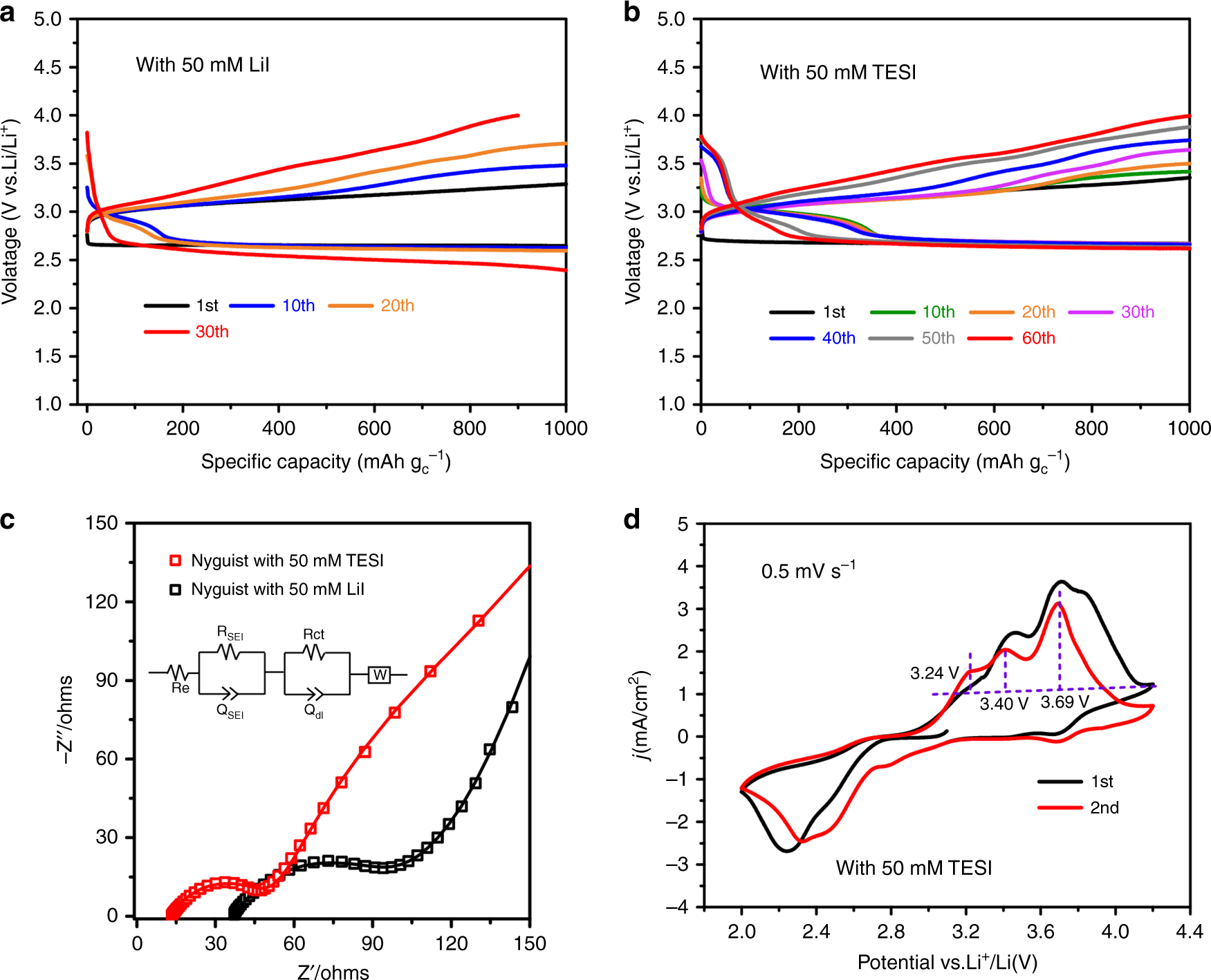
Fig. 3

Electrochemical performance of the Li-O2 cells with TESI or LiI at a limited specific capacity of 1000 mAh g−1. a With 50 mM LiI additive for 30 cycles, current density: 500 mA g−1. b With 50 mM TESI additive for 60 cycles, current density: 500 mA g−1. c EIS of the Li-O2 cell after 30 cycles with 50 mM TESI or 50 mM LiI and EIS analysis using an equivalent circuit model (shown in the inset). d Cyclic voltammograms (CV) of the TESI-containing Li-O2 Cell