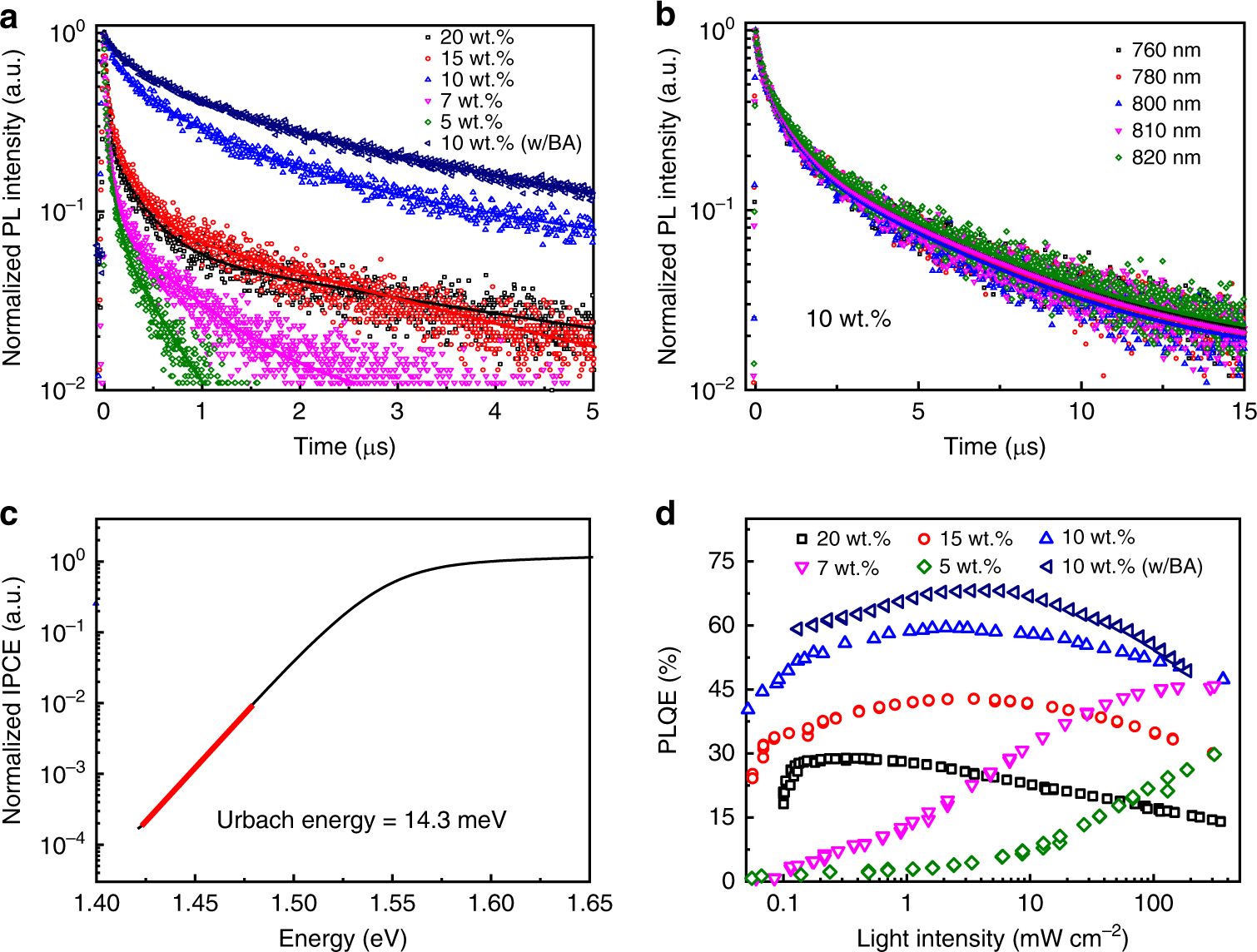
Fig. 4

Optical properties of perovskite films. a Time-resolved PL for the FAPbI3 films fabricated with different concentrations of precursor solutions under a fluence of 4 nJ cm−2. b Time-resolved PL of 10 wt.% FAPbI3 film at various emission wavelengths, which are almost identical. c Normalized IPCE at the absorption onset for a device fabricated with 10 wt.% FAPbI3 film, measured by using FTPS. An Eu of 14.3 meV can be calculated, as indicated by the red line. d Excitation-intensity-dependent PLQE of FAPbI3 films fabricated from precursor solutions with different concentrations. The maximum PLQEs for 20 wt.%, 15 wt.%, 10 wt.%, 7 wt.%, 5 wt.% and BA treated 10 wt.% perovskite films are 29, 42, 60, 46, 30, and 68%, respectively