Fig. 4
From: Information-based centralization of locomotion in animals and robots

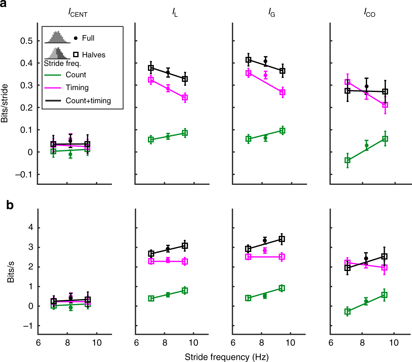
Centralization and of fast versus slow cockroach strides. a When splitting the strides into a slow half and a fast half, ICENT remains unchanged when compared to the full set of strides. However, both local and global mutual information decrease equally, and this decrease is attributed to information in timing. ICO remains constant due to competing trends in timing and count. b Same as a only information is converted to a bits/second rate using the median stride frequency of each group. Though the information per stride decreases, the information per unit time increases