Fig. 1
From: Large-scale parallelization of nanomechanical mass spectrometry with weakly-coupled resonators

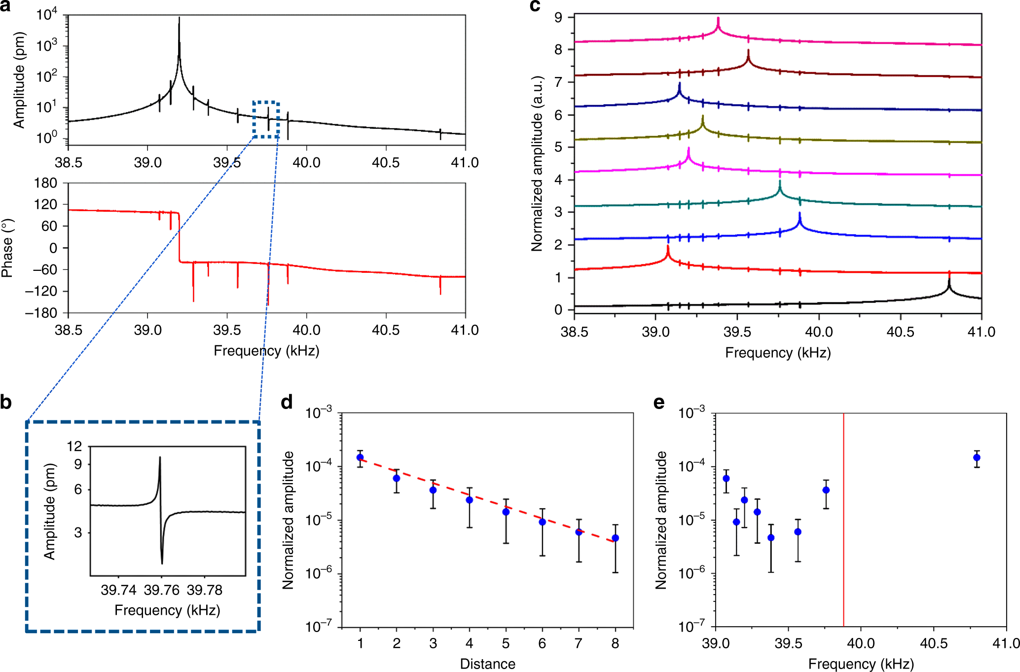
Measured weak-coupling in a nanomechanical cantilever array. a Amplitude and phase response of a single cantilever, showing the asymmetric weak-coupling peaks which are related to the other resonators of the array; see subfigure (c). b Magnified view of the asymmetric amplitude peak contained in the dotted box of subfigure (a). c Amplitude response of all nine cantilever resonators of the array, showing coincidence of the weak-coupling peaks with primary resonances of other cantilevers. Vibration spectra are normalized and shifted in amplitude for clarity. d Average peak-to-peak amplitudes of all weak-coupling asymmetric peaks as a function of the corresponding distance (of the cantilever related to that peak) to the cantilever being measured; line of best fit shown. e Average peak-to-peak amplitudes of the weak-coupling peaks as a function of frequency; no correlation is evident. Measurements on each cantilever are reported in Supplementary Table 1