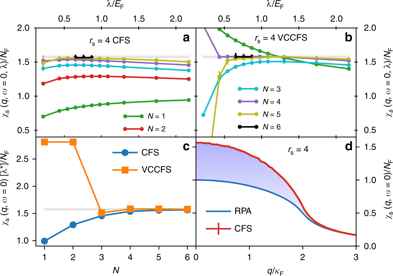
Fig. 2
From: A combined variational and diagrammatic quantum Monte Carlo approach to the many-electron problem

Spin susceptibility of UEG at rs = 4. This corresponds to a density \(n = 3/(4\pi r_{\mathrm{s}}^3)\). The optimization of χs(q = 0, ω = 0) versus the screening parameter λ within a CFS and b VCCFS scheme. Susceptibility χ and λ are scaled by the density of states at the Fermi level \(N_{\mathrm{F}} = (\frac{3}{{2\pi }})^{2/3}/(2\pi r_{\mathrm{s}})\), and the Fermi energy EF, respectively. The shaded region shows the estimated total s.d. error bar of our calculation. A single extrememum at the optimized λ* appears, which is however order dependent (\(\lambda _N^ \ast\)). c The value of the optimized \(\chi (q = 0,\omega = 0)[\lambda _N^ \ast ]\) versus diagram order in both schemes. d The momentum-dependent χ(q, ω = 0) at the converged order N = 6 and optimized \(\lambda _{N = 6}^ \ast /E_{\mathrm{F}} = 0.75\) in CFS scheme, along with comparison to random phase approximation (RPA), which is exact when interaction is ignored. The statistical s.d. errors are displayed in panels a, b and d, and in d are smaller than the width of the curve