Fig. 3
From: A combined variational and diagrammatic quantum Monte Carlo approach to the many-electron problem

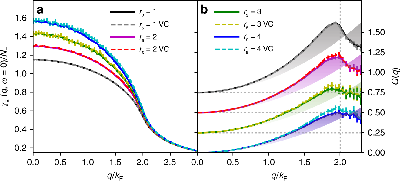
Spin susceptibility and static local-field correction. a χs(q, ω = 0) at optimized λ* for rs = 1–4. VC corresponds to VCCFS scheme, and the rest to CFS scheme. The statistical s.d. error bars are displayed for each computed point, and each point is computed statistically independently. In VCCFS scheme the statistical error bars are larger than in CFS scheme, but agree with each other within the error bar. b The local-field correction for the same rs = 1–4, and its deviation from quadratic approximation (see the color envelope). For clarity the curves for rs = 1, 2, and 3 are shifted up for 0.75, 0.5, and 0.25