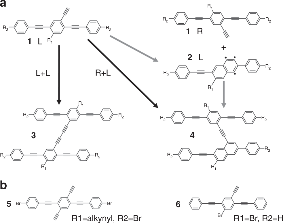
Fig. 1

The reaction scheme of alkyne molecules. a The potential reaction pathways of chiral terminal alkyne 1, forming 3 from homochiral intermolecular reaction and 4 from heterochiral intermolecular reaction. b The precursor molecules used in this work