Fig. 7

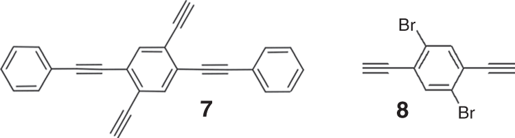
Similar alkyne molecules used in previous studies. The reaction of 7 leads to the formation of graphdiyne covalent nanowire, while the reaction of 8 gives rise to the formation of binodal organometallic network consisting of both alkynyl–Ag–alkynyl and alkynyl–Ag–phenyl links