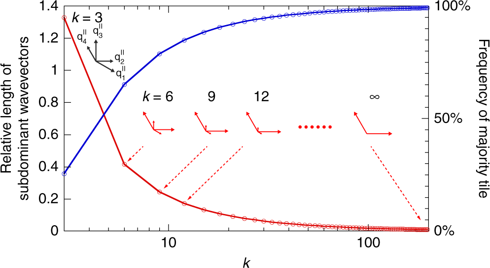
Fig. 4
From: Metallic-mean quasicrystals as aperiodic approximants of periodic crystals

Convergence towards periodic hexagonal lattice. Ratio of magnitudes of subdominant and dominant reciprocal-space basis vectors (red points connected so as to guide the eye) and the frequencies of majority tiles in type IA tilings (blue points) vs. k. Also included are the reciprocal-space basis vectors for k = 3, 6, 9, 12, and ∞