Fig. 1

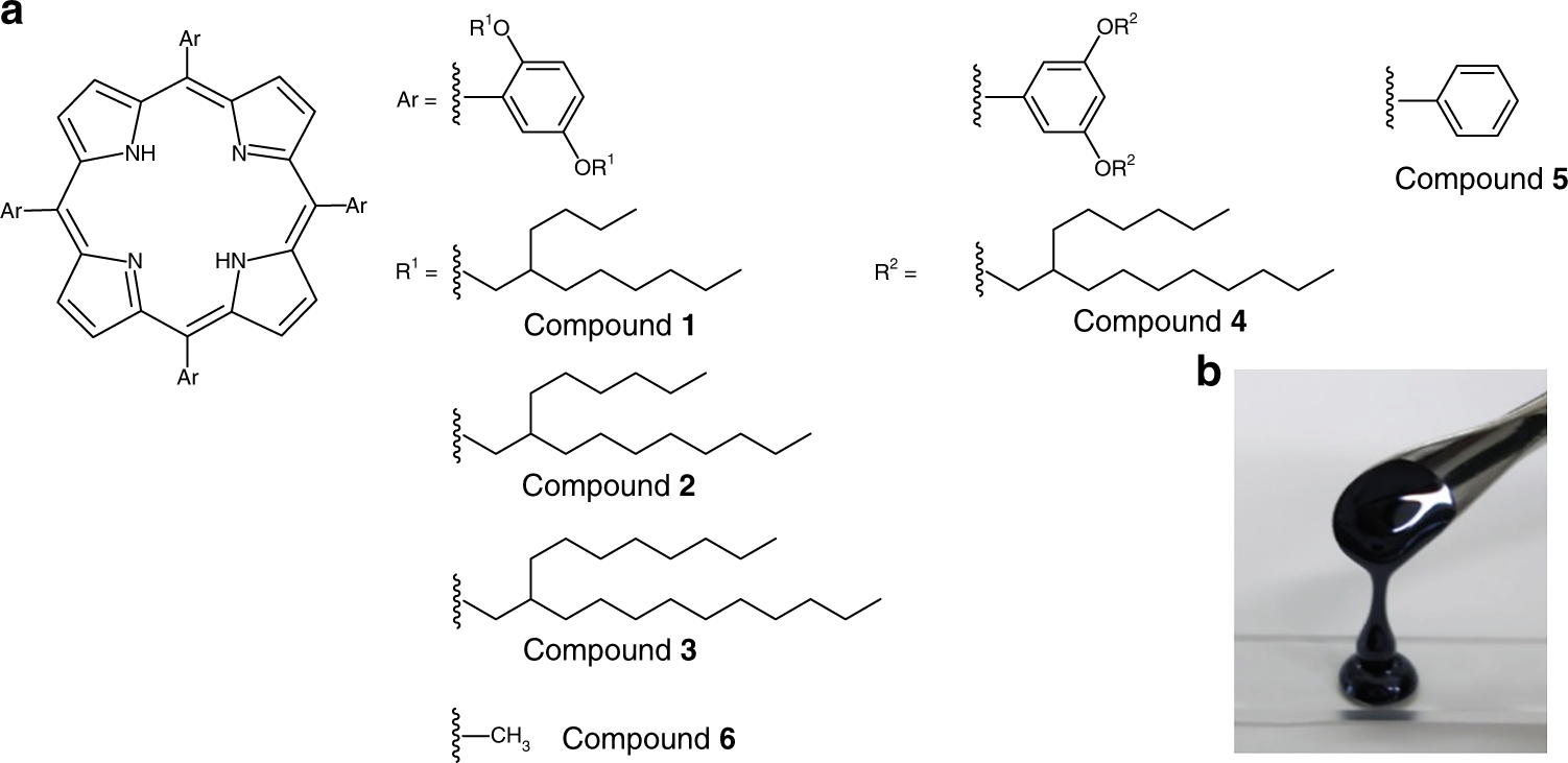
Molecular design of liquid porphyrins. a Chemical structures of compounds 1–6. The branched alkyl chains of different chain lengths such as 2-butyloctyl (compound 1), 2-hexyldecyl (compounds 2 and 4) and 2-octyldodecyl (compound 3) were attached on the meso-phenyl groups of tetraphenylporphyrin (compound 5) through an ether linkage. In compounds 1–3, the alkyl chains were attached at the 2,5-positions (these positions are considered with respect to the phenyl carbon which is attached to the meso-carbon of the porphyrin ring), while in compound 4, the attachment was at the 3,5-positions of the meso-phenyl groups. Compound 5 was used as a standard and compound 6 was considered as a model compound for theoretical simulation. b Photo image of the solvent-free liquid-physical appearance of compound 4 at 296 K