Fig. 6
From: Exact exchange-correlation potentials from ground-state electron densities

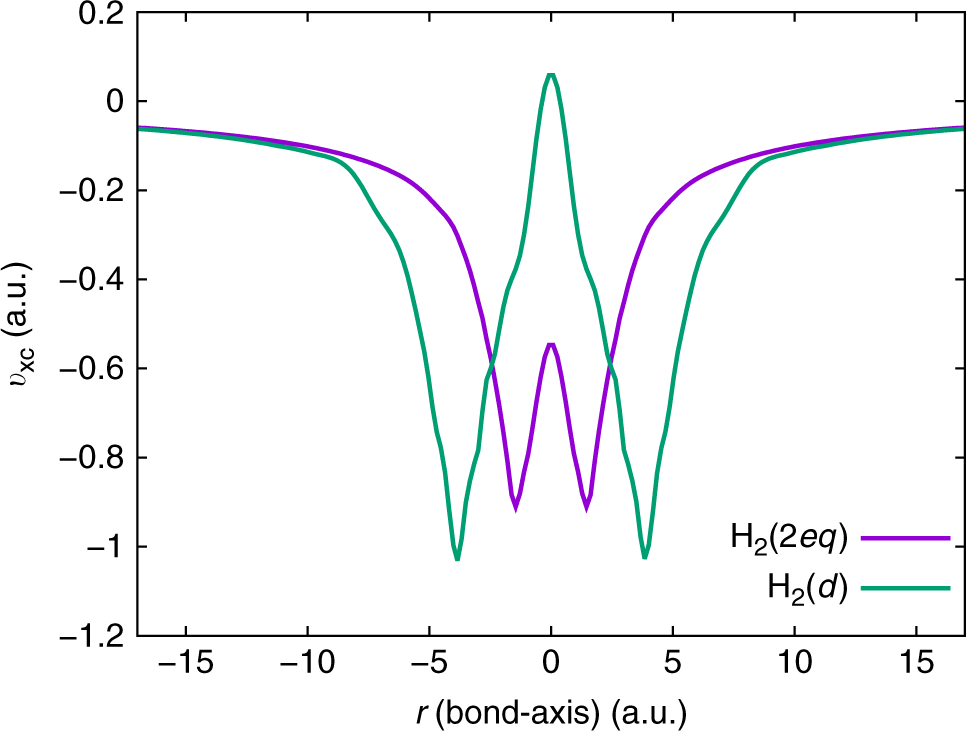
Exact \({v}_{{\rm{xc}}}\) for stretched \({{\rm{H}}}_{2}\) molecules. The exact \({v}_{{\rm{xc}}}\) is provided for two stretched hydrogen molecules: one at twice the equilibrium bond length (\({{\rm{H}}}_{2}(2eq)\)) and the other at dissociation (\({{\rm{H}}}_{2}(d)\)). The H atoms for \({{\rm{H}}}_{2}(2eq)\) and \({{\rm{H}}}_{2}(d)\) are located at \(r=\pm 1.415\) a.u. and \(r=\pm 3.78\) a.u., respectively