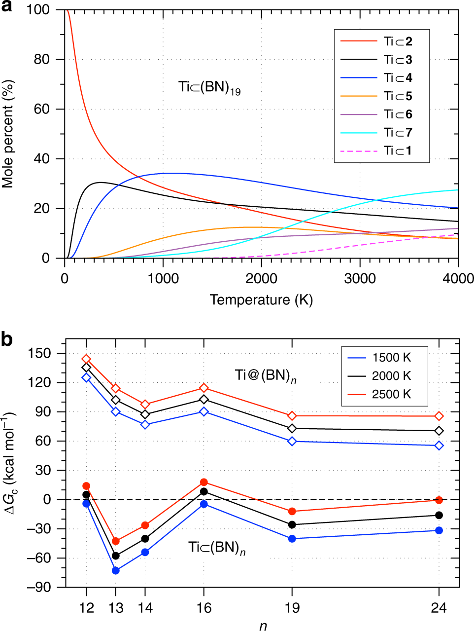
Fig. 5

Relative concentrations and complexation free energies of Ti(BN)n at various temperatures. a DFT predicted mole fractions of the major products by a thermodynamically controlled synthesis of Ti(BN)19, as a function of temperature up to 4000 K. The solid lines correspond to the six lowest energy isomers and the dashed line denotes the isomer with cage form 1. b Gibbs free energies of complexation of Ti(BN)n (\(n=12,13,14,16,19,24\)), \(\Delta {G}_{{\rm{c}}}\), defined by Eq. (1) in the text, at 1500, 2000, and 2500 K (indicated in blue, black, and red, respectively), the typical temperatures for producing BN nanocages32,33. Solid circles and empty diamonds represent, respectively, the exohedral and endohedral complexes. Note that the exohedral products presented here are the lowest Gibbs free energy isomer at a given temperature, while the endohedral products have the cage form that corresponds to the lowest energy isomer of pristine cages (see Supplementary Note 7, Supplementary Table 9 and Supplementary Fig. 14 for specific structures). All results in a and b are obtained at a pressure of 1 atm