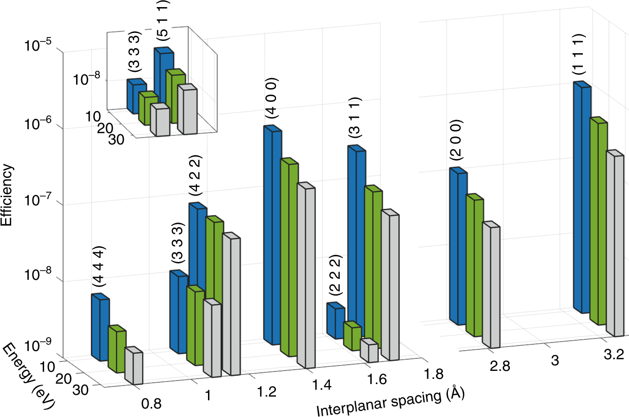
Fig. 2: Comparison between measured efficiencies of PDC in GaAs.

Several atomic planes are shown for a bandwidth of 1 eV. The presented efficiencies are measured for signals, which correspond to idler energies of 10, 20, and 30 eV. The inset presents the efficiencies measured for two atomic planes with the same interplanar spacing. The horizontal axis represents the interplanar spacing, which corresponds to the Miller indices of the various atomic planes.