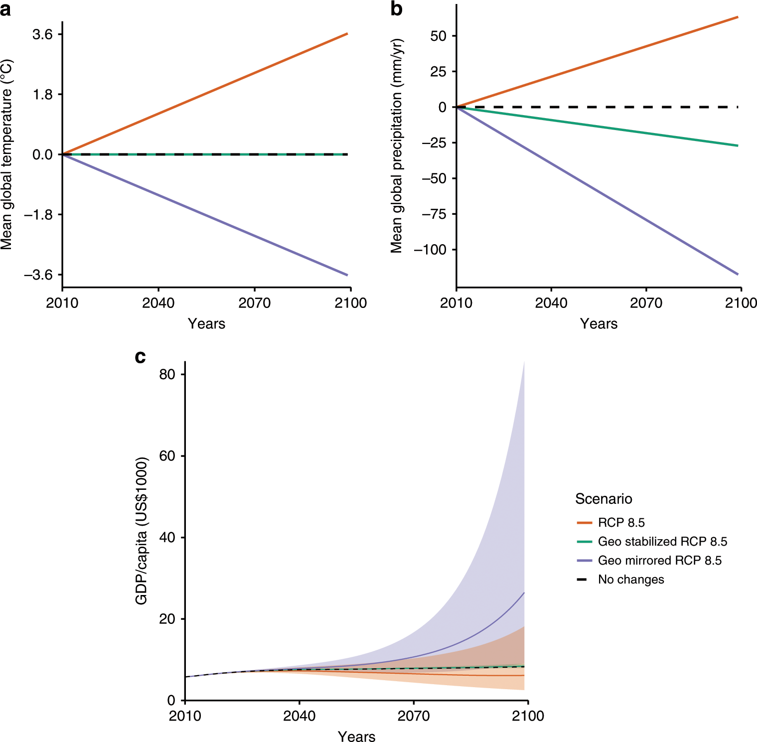
Fig. 1: Simulated changes in climate and projected GDP/capita over the 21st century.

Curves are estimated using the model in column (1) of Supplementary Table 1 for Shared Socioeconomic Pathway (SSP) 3. a Change in global mean temperature and b change in global mean precipitation under the four illustrative climate scenarios. c Projected GDP/capita for the four illustrative climate scenarios where lines represent median projections and shaded area represents 95% confidence (See the “Methods” section). See Supplementary Materials for other SSPs, climate-economy model specifications (Supplementary Fig. 2).