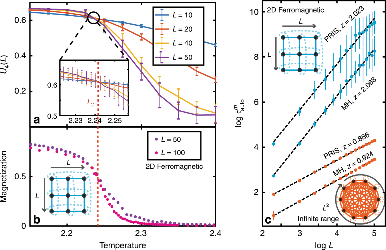
Fig. 4: Detecting and characterizing phase transitions.
From: Heuristic recurrent algorithms for photonic Ising machines

a Binder cumulants U4(L) for various graph sizes L on the 2D Ferromagnetic Ising model. Their intersection determines the critical temperature of the model TC (denoted by a dotted line). b Magnetization estimated from the PRIS for various L. c Scaling of the PRIS magnetization autocorrelation time for various Ising models, benchmarked versus the Metropolis-Hastings algorithm (MH). The complexity of a single time step scales like N2 = L4 for MH on a CPU and like N = L2 for the PRIS on a photonic platform. For readability, error bars in b are not shown (see Supplementary Note 4).