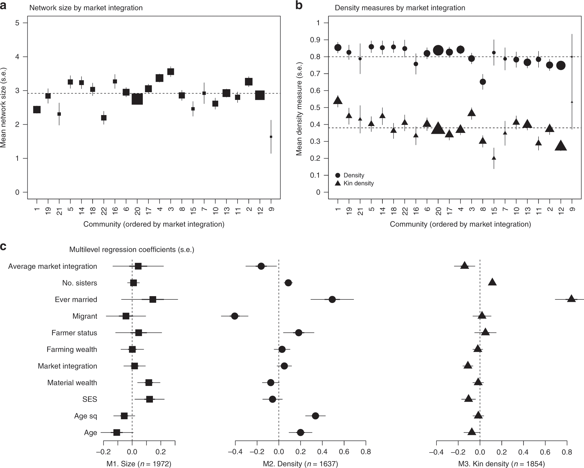
Fig. 3: Community level variation in network characteristics.
From: Market integration reduces kin density in women’s ego-networks in rural Poland

Panels show a network size and b density/kin density, ordered by average market integration (see Source Data file). c shows forest plots of the model-adjusted coefficients (ß estimates) and standard errors from the three multilevel models (see Supplementary Table 2).