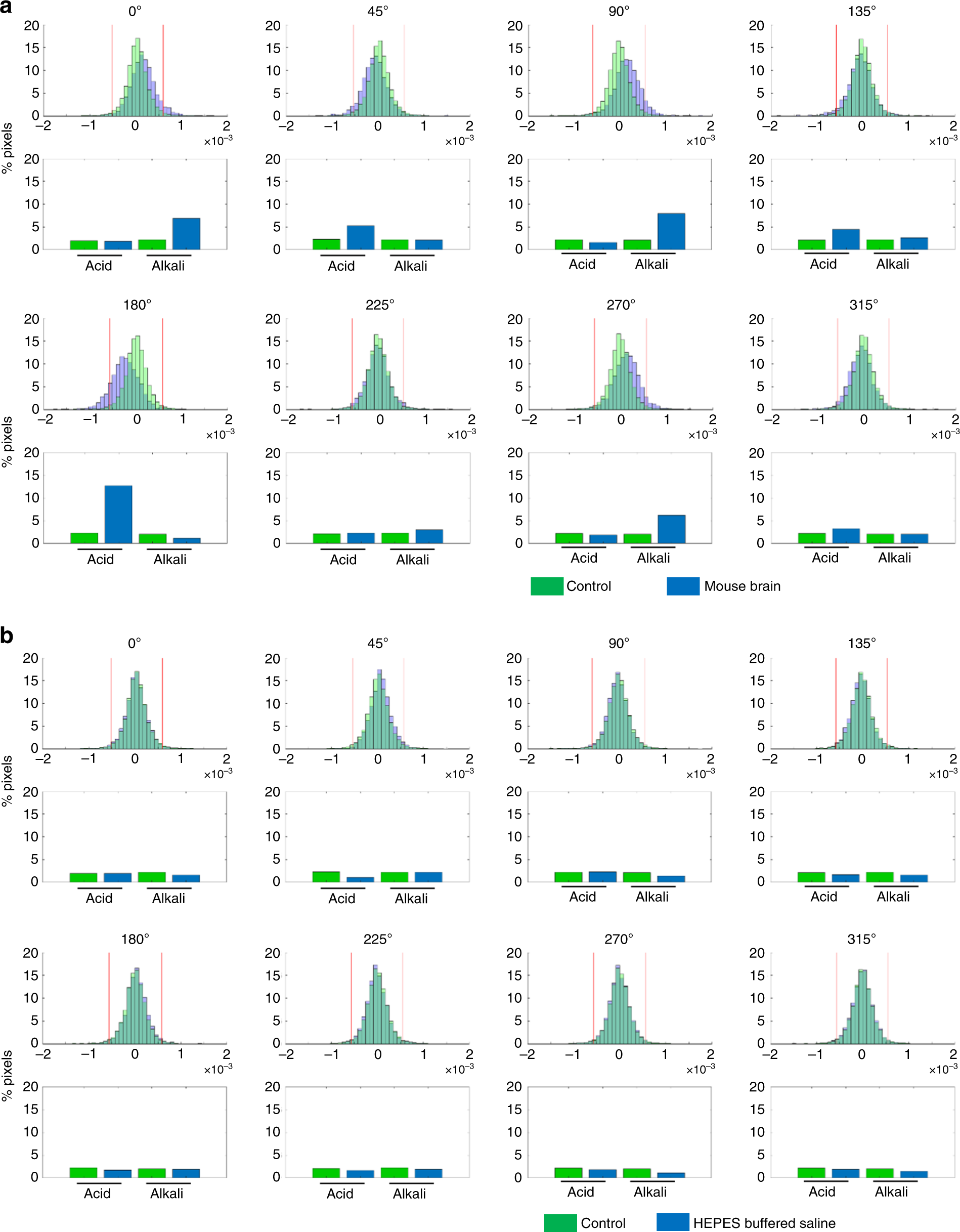
Fig. 3: Stimulus type-dependent modification of pH states in the brain.

a, b Representative distribution histograms of the sizes of pH changes at individual pixels (referred to in the text as delta pH), induced by the eight different drifting gratings directions, recorded in a mouse brain (a, or in HEPES-buffered saline (b)). The green histograms represent the average delta pH values measured in all HEPES-buffered saline experiments (3 experiments, 8 × 30 visual stimulation trials per experiment). The blue histograms are representative examples of delta pH values taken from one mouse (8 × 30 visual stimulation trials), or one HEPES-buffered saline sample (8 × 30 visual stimulation trials). Note that the mouse brain delta pH distributions show either acidic or alkaline shifts (a) whereas the HEPES-buffered saline delta pH distributions do not (b). The red lines on each of the histogram plots represent the 95% confidence interval values calculated from the average delta pH values measured in all HEPES-buffered saline experiments. Using these as threshold values was one method of defining which pixels measured pH changes that reflected actual changes in brain pH.