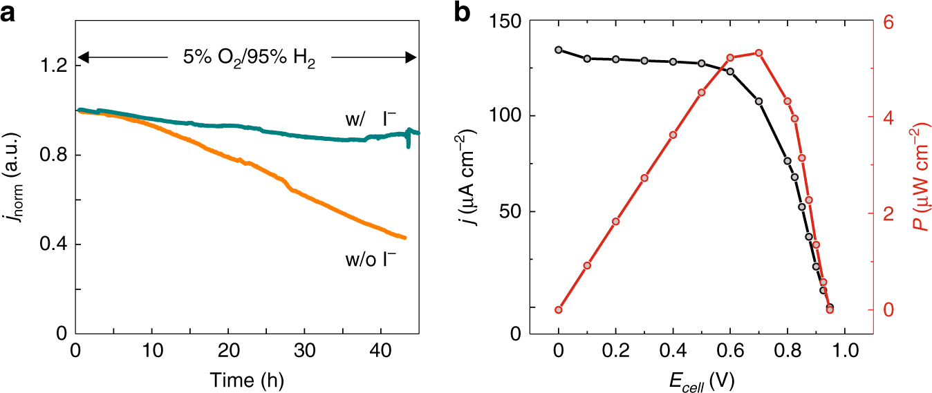
Fig. 5: Turnover stability of viologen-modified films containing hydrogenase.

a The catalytic current densities for H2 oxidation in the presence of 5% O2 are normalized (jnorm) by their maximum values. The measurements are performed in phosphate buffer (0.1 M, pH 7) in the absence or in the presence of KI (0.1 M). Replicates of measurements over extended time periods under the same conditions are given in Supplementary Fig. 12. Measurement conditions: The potential was held at 0.21 V vs SHE. The rotation rate was 2000 r.p.m. b Current density (black trace) and power density (red trace) vs cell voltage from fuel cell measurements conducted in a two-compartment cell with a glass frit as a separator. The anode modified with a film of the viologen polymer containing the hydrogenase was placed in the compartment containing phosphate buffer (0.1 M, pH 7) and KI (0.1 M) purged with 100% H2. The cathode modified with bilirubin oxidase for O2 reduction was placed in the compartment containing phosphate buffer (0.1 M, pH 7) purged with 100% O2. Replicates of the fuel cell measurements under the same conditions are given in Supplementary Fig. 13. The polymer surface coverage for all hydrogenase modified electrodes is 2.26 mg cm−2. All measurements were performed at 298 K. Source data are provided as a Source Data file.