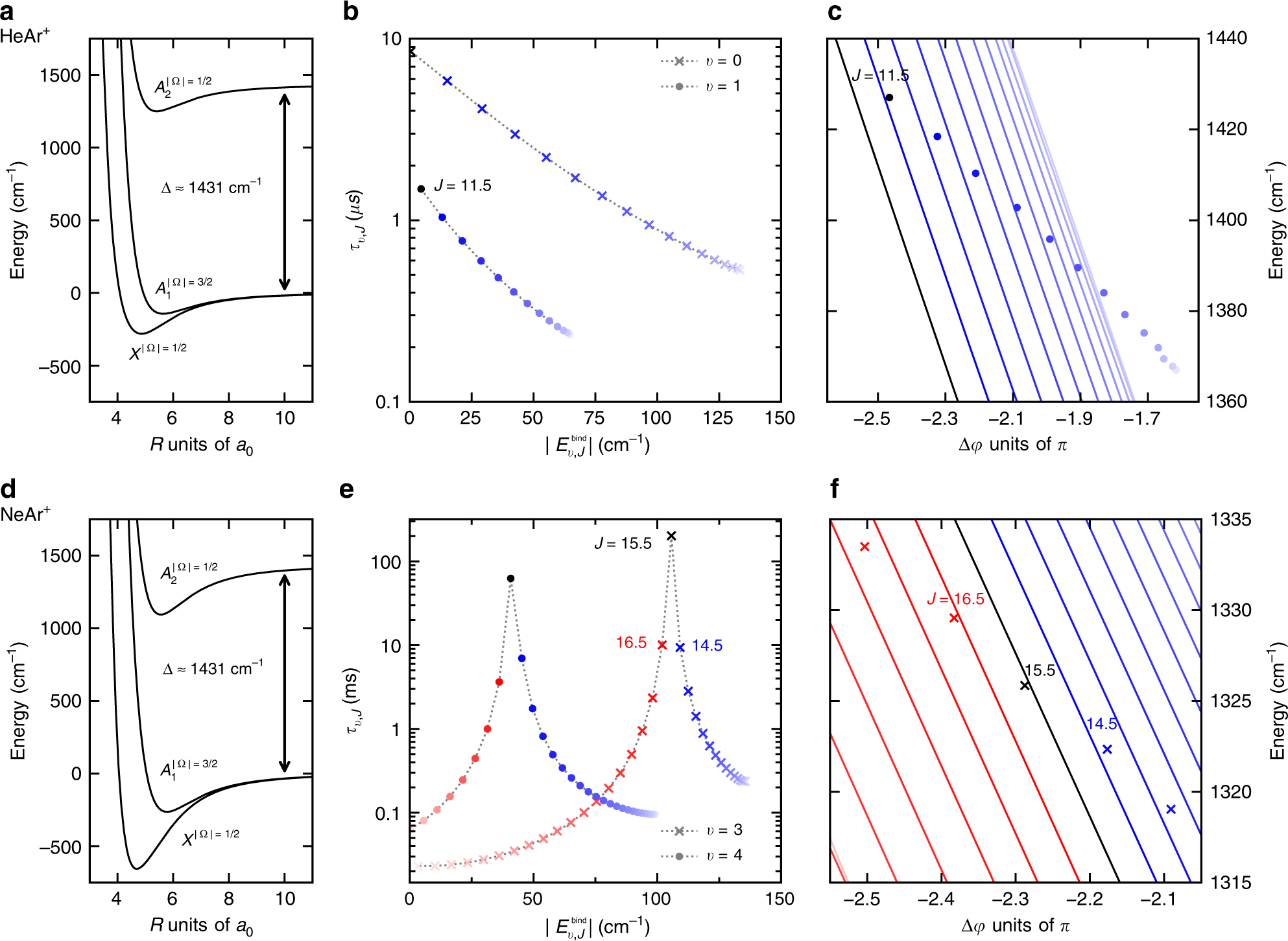
Fig. 2: Rovibrational FFR in spin–orbit excited noble gas dimers.

Potential energy curves (a, d) lifetimes of A2 state rovibrational levels, obtained with full account of non-perturbative effects, as a function of binding energy (b, e) and zero-overlap lines resulting in phase protection for fixed v and different J, as a function of scattering phase and energy (c, f) for HeAr+ (a–c) and NeAr+ (d–f).