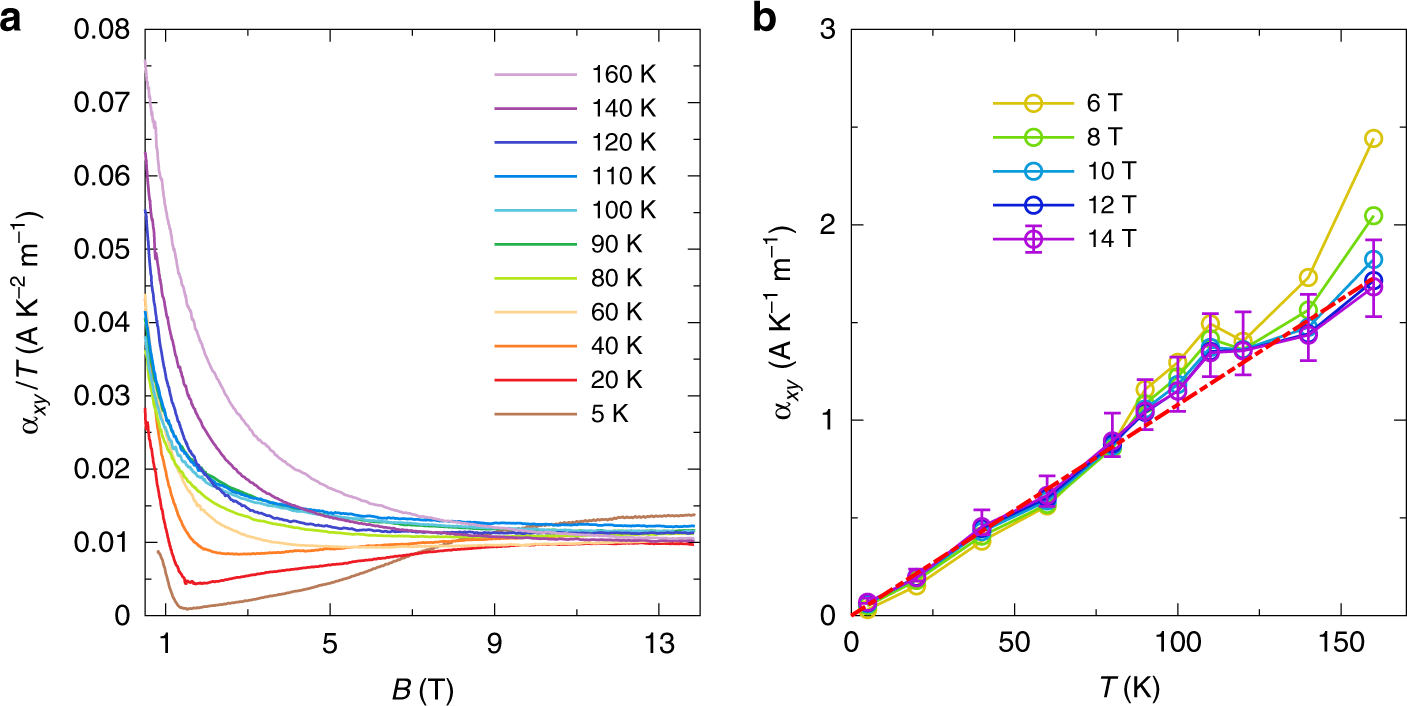
Fig. 3: Transverse thermoelectric conductivity.
From: Observation of a thermoelectric Hall plateau in the extreme quantum limit

a αxy∕T as a function of B at different temperatures. αxy is independent of B at high fields. b αxy as a function of temperature at different fields. The red dashed line is a guide to the eye. The error bars indicate one standard error, and reflect uncertainties in the measurements of the temperature difference and sample dimensions (see Supplementary Note 1 for detail). For visual clarity, only the error bars for B = 14 T are shown.