Fig. 3: Measurement of work and mutual information.
From: Efficiency fluctuations and noise induced refrigerator-to-heater transition in information engines

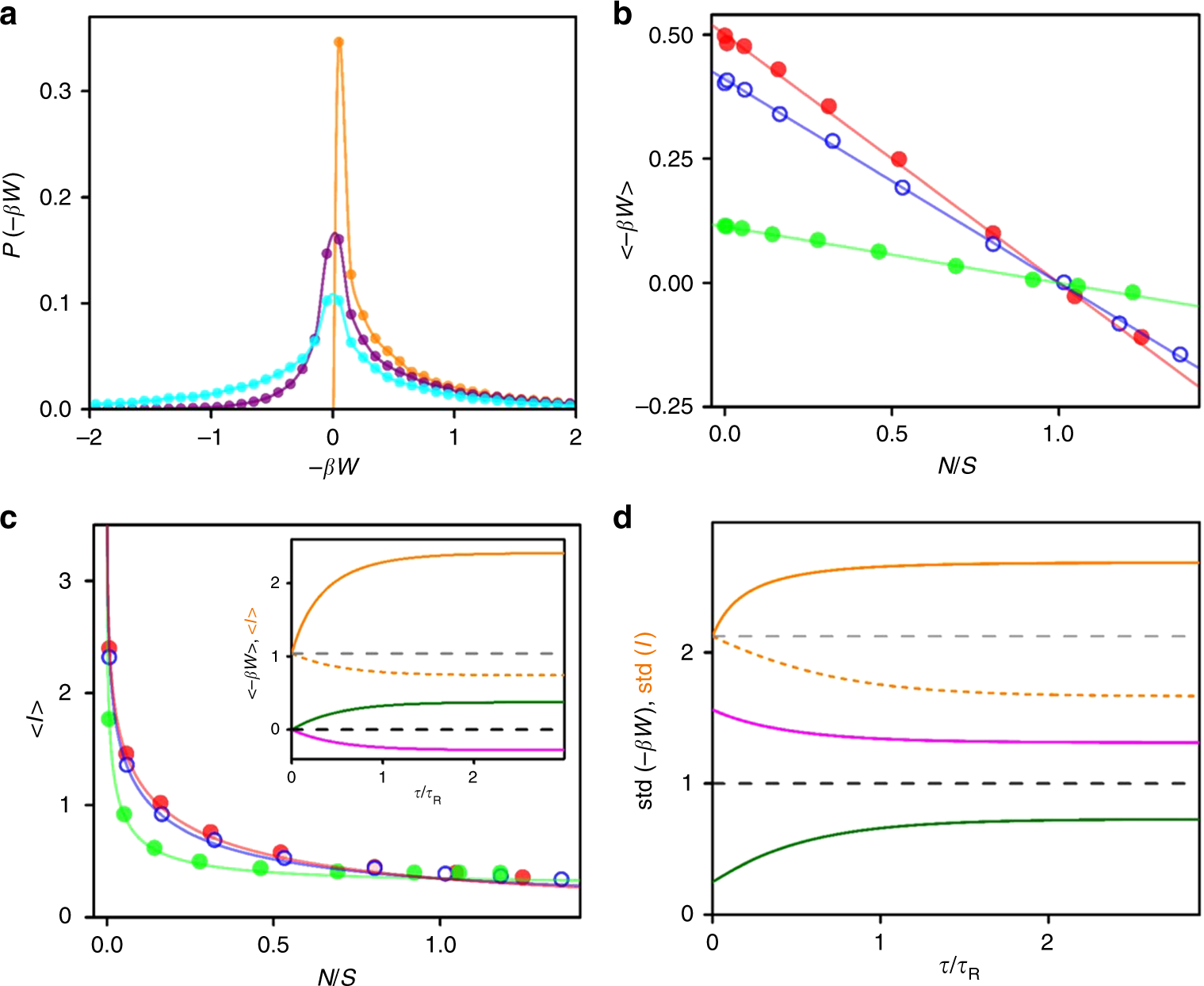
a Experimentally measured probability distribution functions of the extracted work −βW at steady state for cycle τ = 20 ms and noise levels N/S = 0 (orange), 0.31 (purple) and 1.12 (cyan). The solid curves are guides to the eyes. b The average extracted work 〈−βW〉 as a function of noise level N/S, for τ = 20 (red circles), 3 (blue), and 0.5 (green) ms. The solid lines are plot of Eq. (2). c The measured average mutual information in steady state 〈I〉, as a function of N/S for τ = 20 (red circles), 3 (blue), and 0.5 (green) ms. The solid curves are plot of Eq. (4). Inset: theoretical plot of 〈−βW〉 and 〈I〉 as a function of normalized cycle period τ/τR (using Eqs. (2) and (4)) for N/S = 0.5 (olive and orange curves), 1.0 (black and grey dashed lines), and 1.25 (magenta and dashed orange curves) for 〈−βW〉 and 〈I〉, respectively. For better visualization, all values of mutual information are scaled up by a factor of 3. d Fluctuations in work std(−βW) and mutual information std(I) as a function of τ/τR for like colored curves in the inset of panel c.