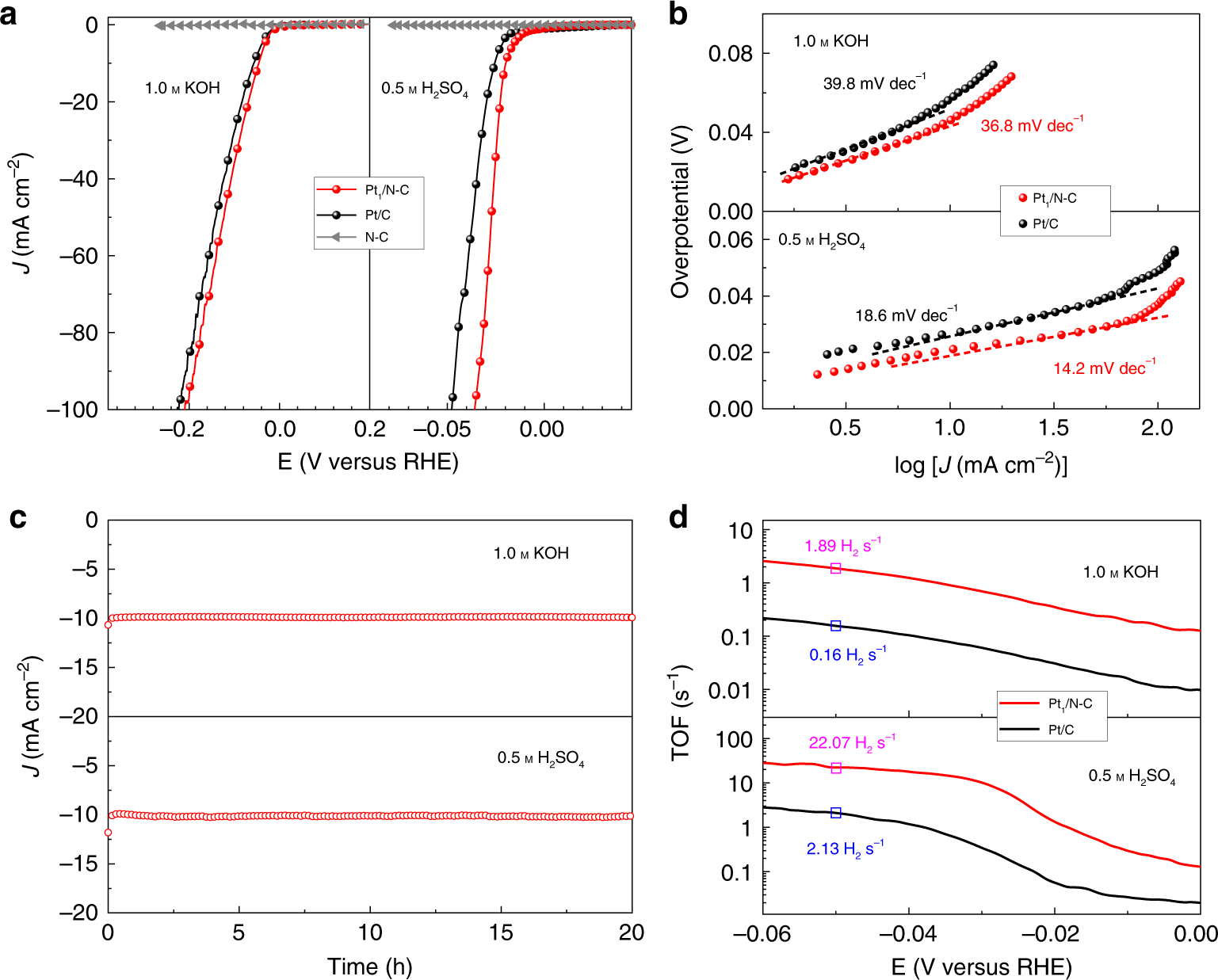
Fig. 4: Electrochemical analysis in both 1.0 m KOH and 0.5 m H2SO4.

a LSV curves of the Pt1/N-C, Pt/C and N-C framework. J, current density; E, potential. b Tafel plots for Pt1/N-C and Pt/C electrocatalysts. c Durability test of Pt1/N-C. d TOF plots of the Pt1/N-C and Pt/C electrocatalysts.