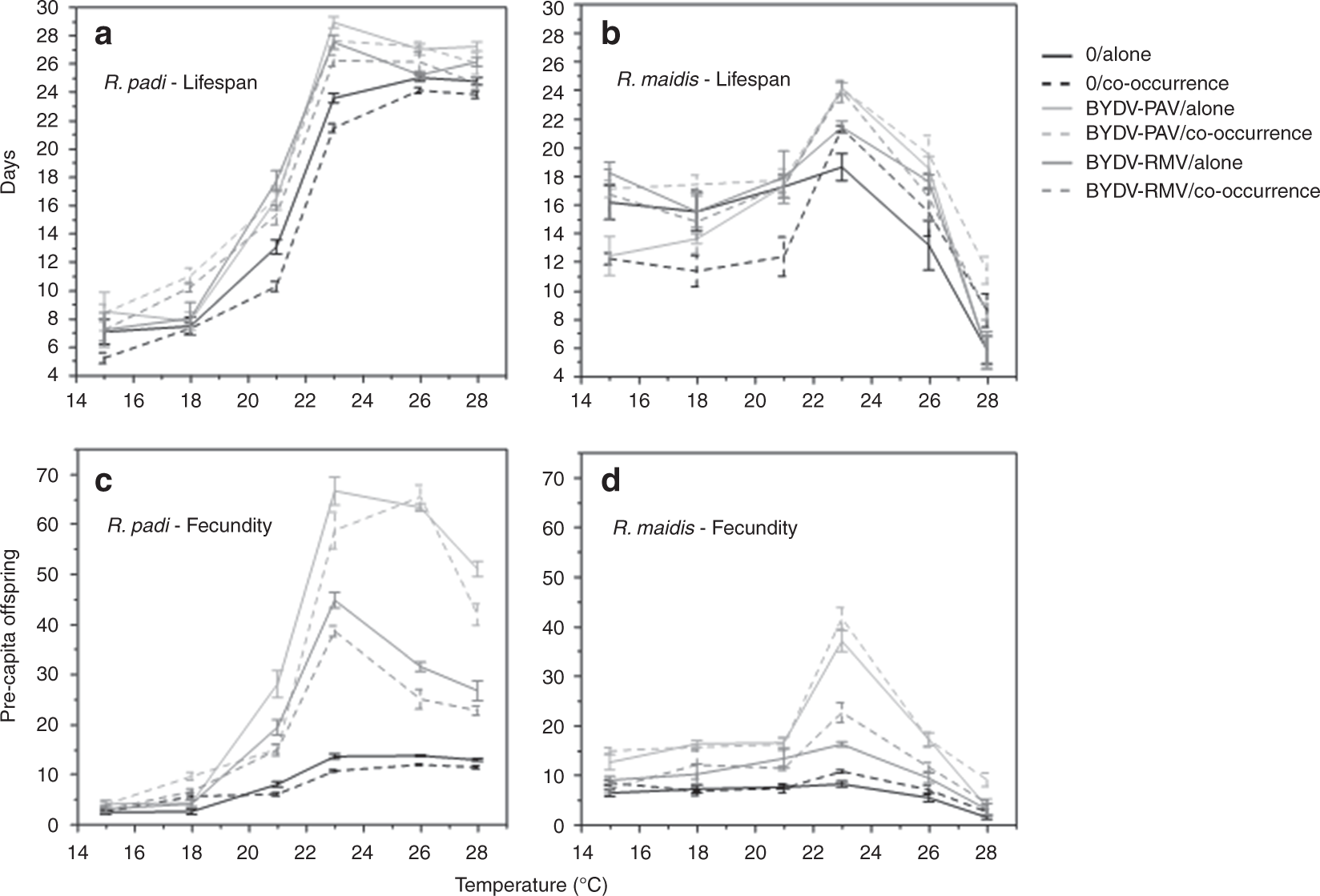
Fig. 5: Temperature and viral infection influence lifespan and fecundity of aphid species.

Performance curves of lifespan (a, b) and fecundity (c, d) of R. padi and R. maidis, alone or co-occurring with other aphid species, on plants infected with BYDV-PAV or BYDV-RMV and on virus-free plants across a range of environmental temperatures. Rhopalosiphum padi transmits BYDV-PAV, while R. maidis transmits BYDV-RMV (mean ± SE per treatment per temperature; n = 15 per treatment). Source data are provided as a Source data file.