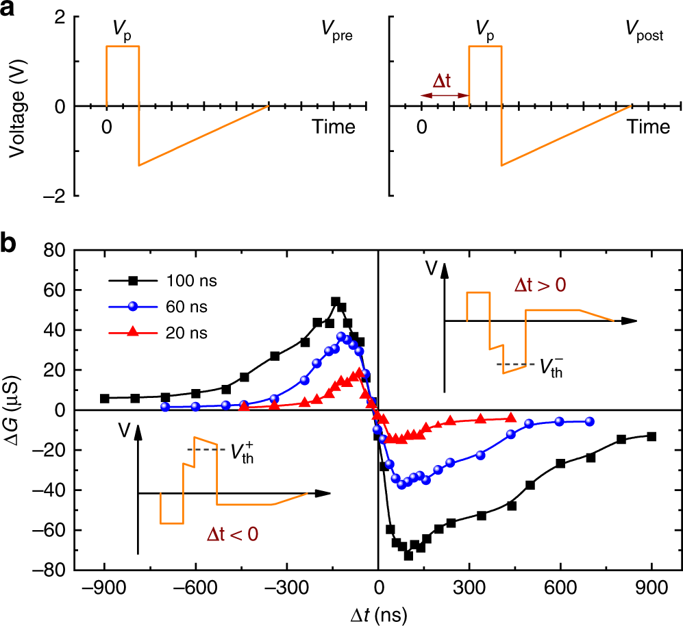
Fig. 4: Ultrafast artificial synapses based on FTJs.
From: Sub-nanosecond memristor based on ferroelectric tunnel junction

a Applied programmable voltage waveforms for pre-synaptic and post-synaptic spikes, respectively. b STDP measurements in the FTJ. Modulation of the FTJ conductance (ΔG) as a function of the delay (Δt) between pre-synaptic and post-synaptic spikes. Insets show the waveforms produced by the superposition of the pre-synaptic and post-synaptic spikes.