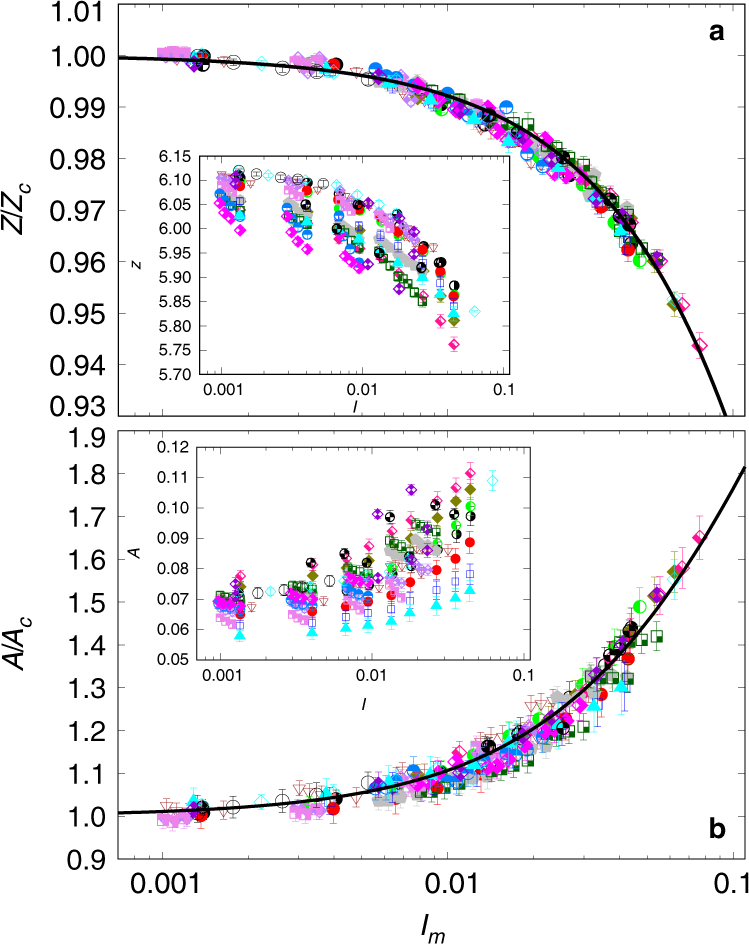
Fig. 5: Scaling of microstructural variables.

Number density Z of capillary bonds (a) and bond orientation anisotropy A (b) as a function of the generalized inertial number Im defined by Eq. (1) with α ≃ 0.062 and β ≃ 0.075, for sets of parameters. The error bars represent the standard variation over steady-state flow, and the symbols and their colors are the same as those in Fig. 2. The solid lines are fitting forms similar to those used for μ∕μc and Φ∕Φc with different parameter values; see Supplementary Note 2.