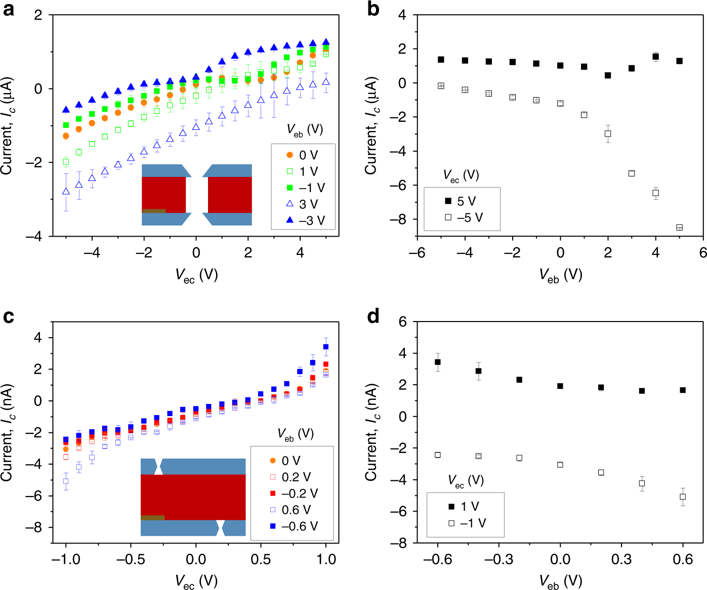
Fig. 2: Current-voltage curves of individual bipolar junctions at various base voltages.
From: Ionic amplifying circuits inspired by electronics and biology

a, b Recordings for a transistor with an opening diameter of 600 nm in 10 mM KCl; (c, d) recordings for a device with an opening diameter of 140 nm in 100 mM KCl. b, d were created based on current-voltage curves in a and c and show Ic at chosen Vec for different gate inputs. Error bars were calculated as standard deviation from an average of at least two independent voltage scans.