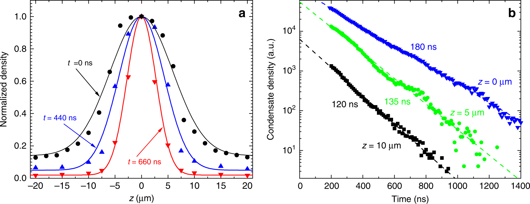
Fig. 3: Time evolution of the condensate density in a potential well after turning the microwave pumping off.
From: Direct evidence of spatial stability of Bose-Einstein condensate of magnons

a Normalized spatial profiles of the condensate density in a potential well with ΔHmax = −10 Oe recorded at different delays after the microwave pumping is turned off at t = 0. Solid lines are guides for the eye. b Temporal dependence of the condensate density at different spatial positions. Dashed lines show the exponential fit of the experimental data with the corresponding effective decay times as indicated.