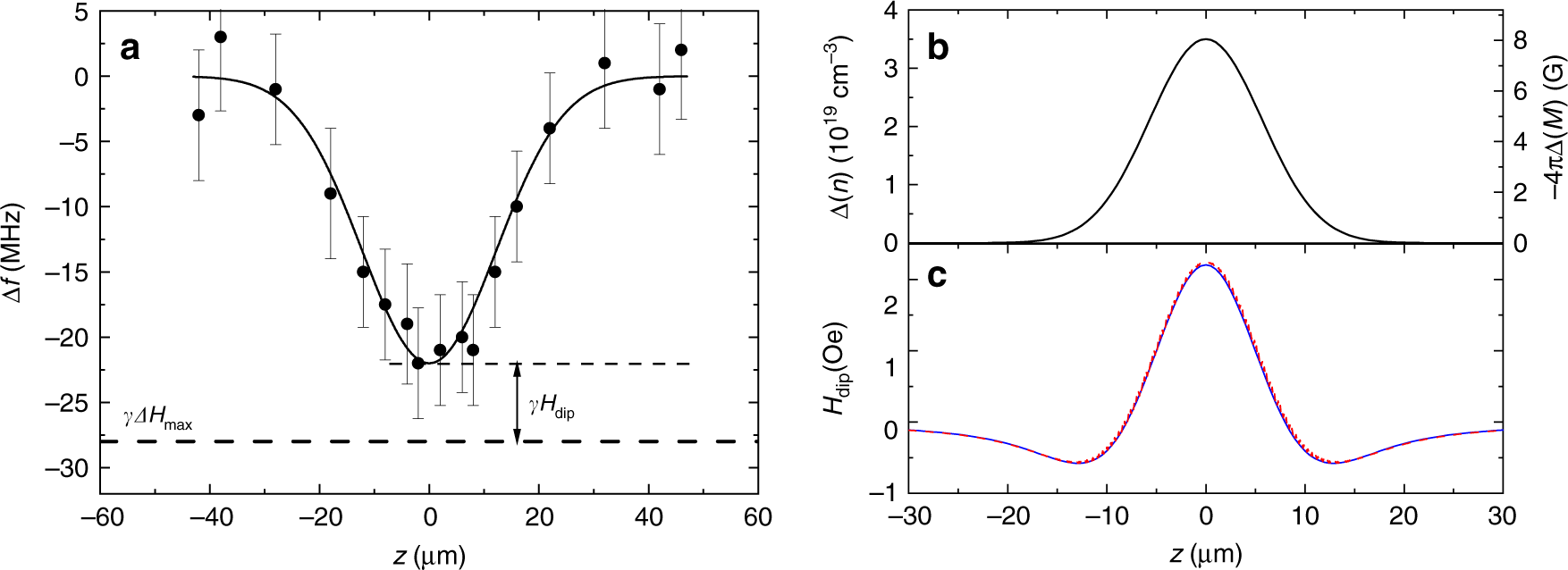
Fig. 4: Spatial distributions of the condensate frequency and of the induced dipolar field.
From: Direct evidence of spatial stability of Bose-Einstein condensate of magnons

a Spatial profile of the frequency shift of the condensate caused by the presence of the potential well (ΔHmax = −10 Oe). Symbols—experimental data obtained using BLS with an ultimate frequency resolution. Solid curve—fit of the experimental data by a Gaussian peak. Horizontal dashed line marks the expected maximum frequency shift, −28 MHz caused by ΔH = −10 Oe. Error bars are standard deviation. b Non-uniform distribution ∆n(z) used for calculations of the dipolar field Hdip. c Resulting distribution of the dipolar field Hdip calculated analytically (solid curve) and numerically (dashed curve).