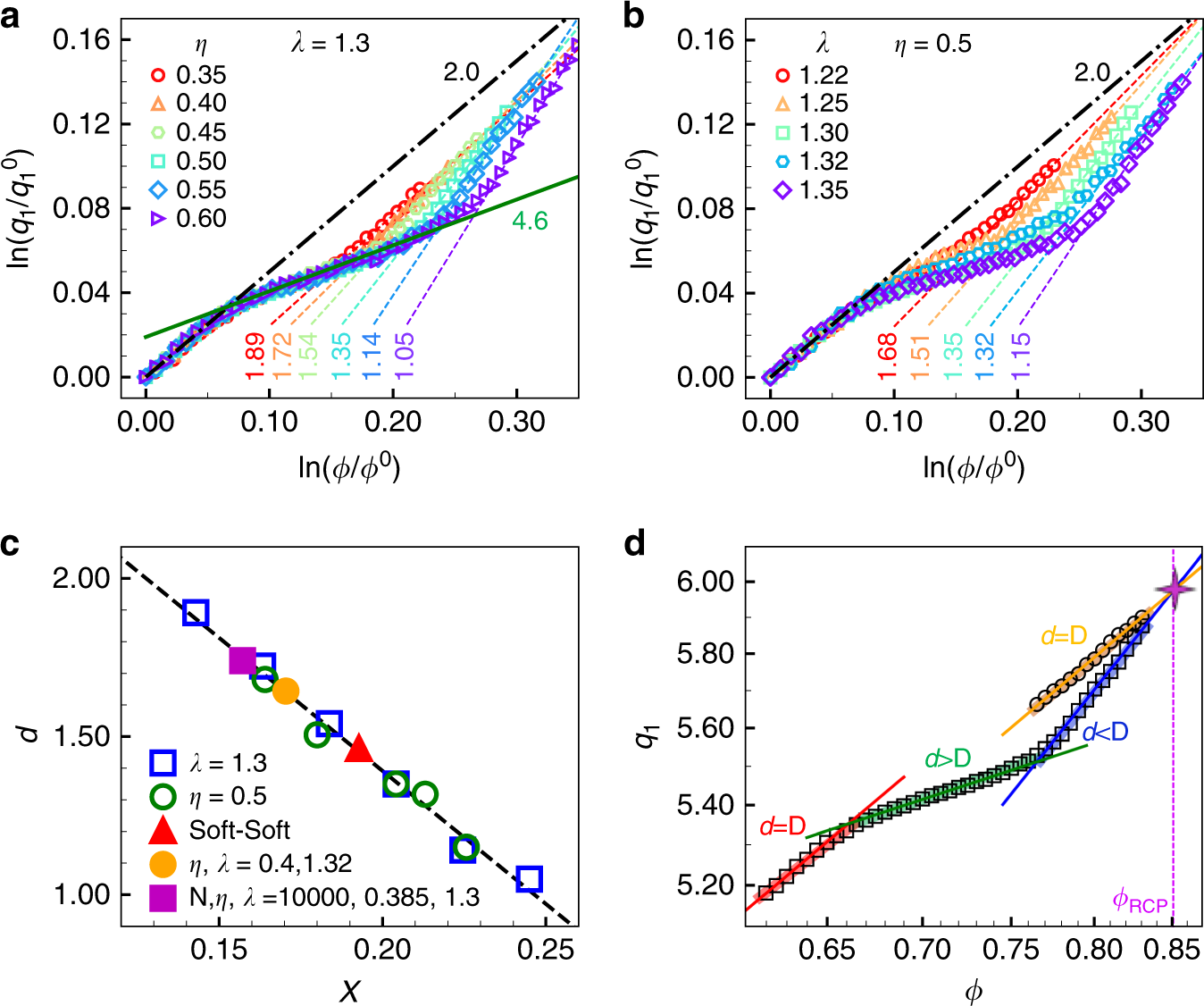
Fig. 3: Effect of deformable part on the FPLs in 2DSH glasses.
From: Power laws in pressure-induced structural change of glasses

a FPLs for systems with different values of η at the fixed λ = 1.3. The fitted exponent 1.05 ≤ d ≤ 1.89 in the glass regime and remains a constant d = 4.6 in the crossover regime. b FPLs for systems with different values of λ at the fixed η = 0.5. c All d’s fitted from a and b collapse into a linear function of the area fraction of soft shells, X. We further measured three other systems and all of their d’s lie on this line, including the 2DSH system with (η, λ) = (0.4, 1.32) (orange circles), a smaller system with (N, η, λ) = (10000, 0.385, 1.3) (purple squares) and a soft/soft mixture with (σ1, λ1, σ2, λ2) = (1,1.28,1.24,1.03) at η1 = 0.4 (red triangles). d The extrapolations of the fitted power laws of the 2DSH glass (blue line; Fig. 1f) and the 2DHH glass (orange line; Fig. 1b) meet at the 2D random-close-packing point: ϕRCP ≃ 0.850 (purple star). Both systems have (η, λ) = (0.5,1.3).