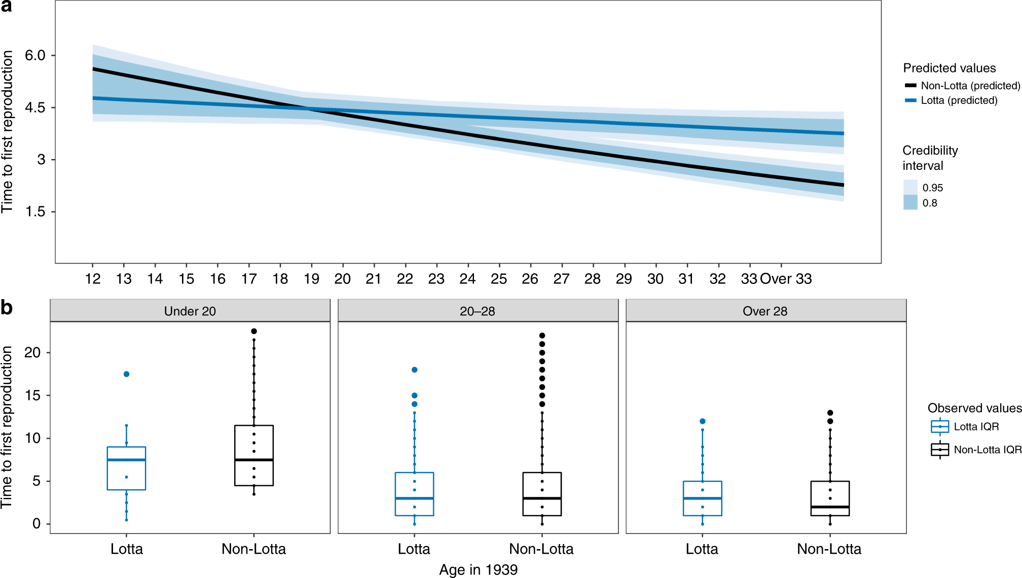
Fig. 3: In the sisters only analysis (see Methods: Statistical Analysis) the effect of volunteering on time to reproduction after the war was also age specific such that younger volunteers waited less (and older volunteers more) time to give birth than their sisters who did not volunteer.

a Model-generated posterior distribution predictions (dark lines), credibility intervals (shaded). b The observed data (median—solid line, box—interquartile range (25% and 75%), whiskers—5% and 95% intervals) for years to reproduction (y-axis) for age groups “Under 20”, “20–28”, and “Over 28” when the war began in 1939. See Supplementary Materials: Fig. 2a and Table 2 (top panel, right side) for posterior distributions for all covariates and Supplementary Fig. 4a for Posterior predictive check for this model. Differences between the model-generated predictions in panel a and the observed data (panel b) primarily result from the impact of covariates entered into the model.