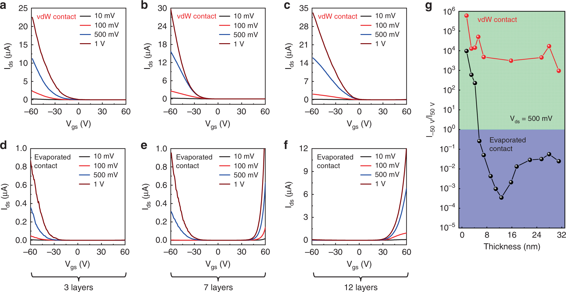
Fig. 2: Thickness-dependent electrical measurement of WSe2 transistors with vdW-integrated and evaporated Au electrodes.
From: Doping-free complementary WSe2 circuit via van der Waals metal integration

a–c, Ids−Vgs transfer curves of WSe2 with different thicknesses (3 layers in a, 7 layers in b, and 12 layers in c) using vdW Au electrodes, where p-type behavior is consistently observed. d–f Ids−Vgs transfer curves of WSe2 with different thicknesses (3 layers in d, 7 layers in e, and 12 layers in f) using conventional deposited Au electrodes, where p-type, bipolar, and n-type behaviors are observed in d, e, and f, respectively. The Vds bias voltage is 0.01 V (black), 0.1 V (red), 0.5 V (blue), and 1 V (brown) throughout a–f. g The current ratio between I−50V (Ids at Vg = −50 V) and I50V (Ids at Vg = 50 V) as a function of WSe2 thickness. For devices with vdW electrodes, large I−50V/I50V ratio >103 is observed, suggesting the consistent p-type behavior, regardless of the channel thickness. For devices with conventional evaporated Au electrodes, I−50V/I50V is decreased with increasing body thickness, where a p-type to n-type transition is clearly observed. The Vds bias voltage in g is fixed at 500 mV.