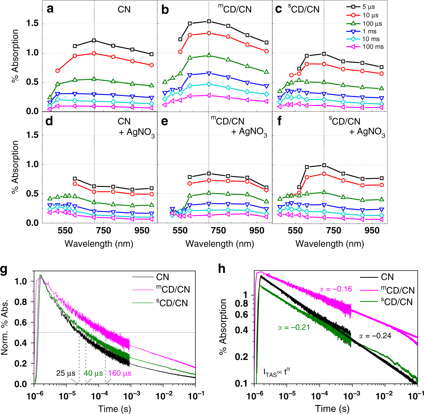
Fig. 2: TAS measurements of CN, mCD/CN and sCD/CN.

Diffuse reflectance TAS spectra for samples with (a–c) and without (d–f) 10 mM AgNO3. CN (a, d), mCD/CN (b, e) and sCD/CN (c, f) were dispersed in aqueous solution. The change of signal amplitude at 700 nm indicates it should be mainly assigned to the electron signal in CN and mCD improves the charge separation on CN due to hole transfer from CN to mCD. g μs-TAS decay kinetics of CN, mCD/CN and sCD/CN in water monitored at 700 nm and excited by pulsed 355 nm excitation (460 μJ/cm2) and h fitted α parameters indicated in the same color as the associated trace. Source data are provided as a Source Data file.