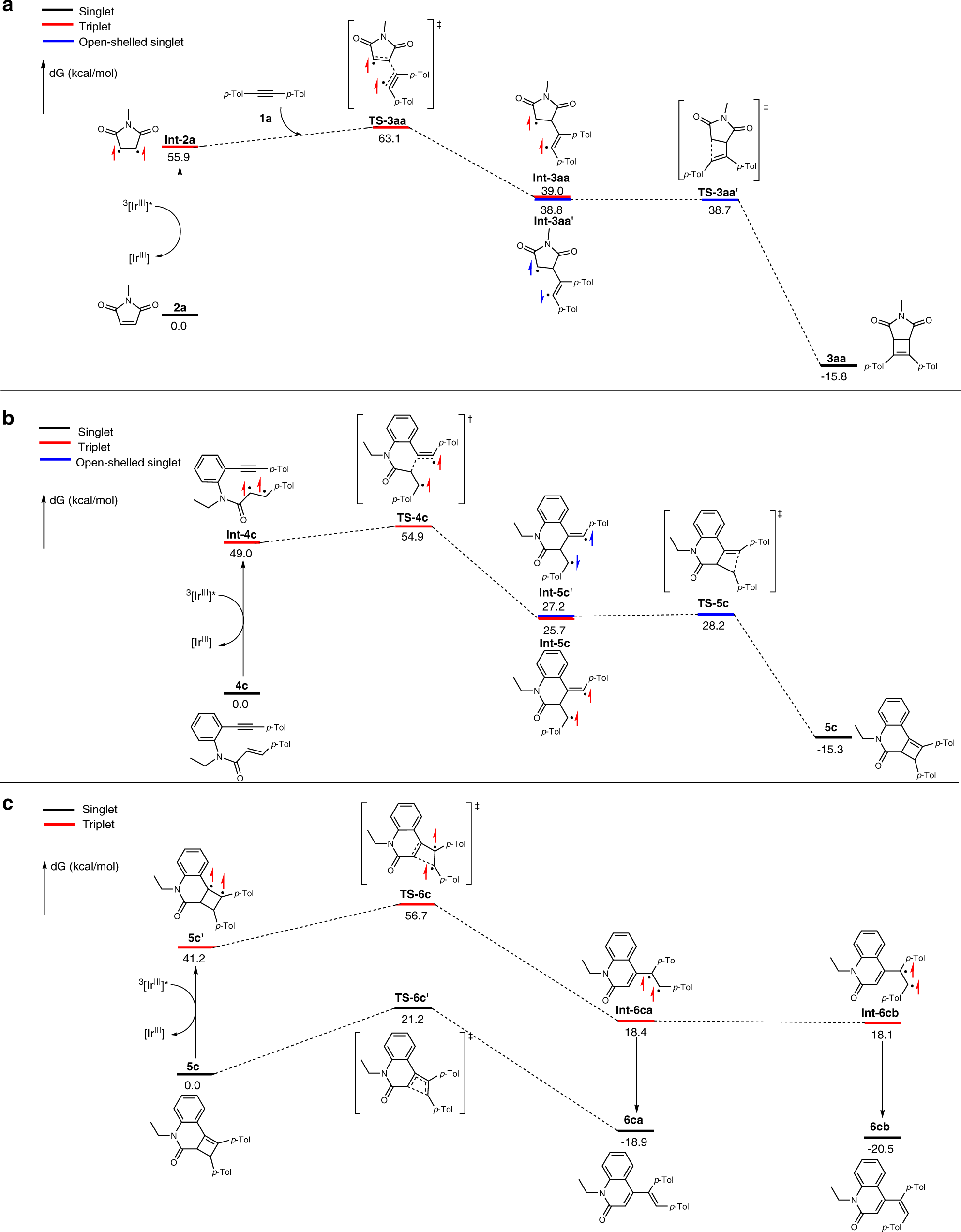
Fig. 9: DFT calculations.
From: Alkyne–Alkene [2 + 2] cycloaddition based on visible light photocatalysis

a Intermolecular cycloaddition between alkyne 1a and maleimide 2a. b Formation of putative cyclobutene intermediate 5c from the intramolecular reaction of 4c. c Formation of 1,3-dienes from 5c.