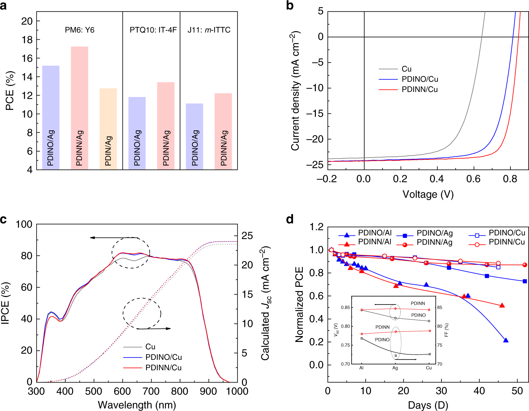
Fig. 4: Photovoltaic performance of the OSCs base on PM6:Y6.

a The comparison of the PCEs of the OSCs with different CIMs and different photoactive layers under the illumination of AM 1.5 G,100 mW cm−2. b J–V curves of the best OSCs based on PM6: Y6 blend with copper as cathode under the illumination of AM 1.5 G,100 mW cm−2. c IPCE spectra and the integrated current density of the best devices with Cu as cathode. d Stability of the OSCs with different top cathode of PDINN/Ag or PDINN/Cu. The devices kept in nitrogen environment and in dark between the J–V measurements.