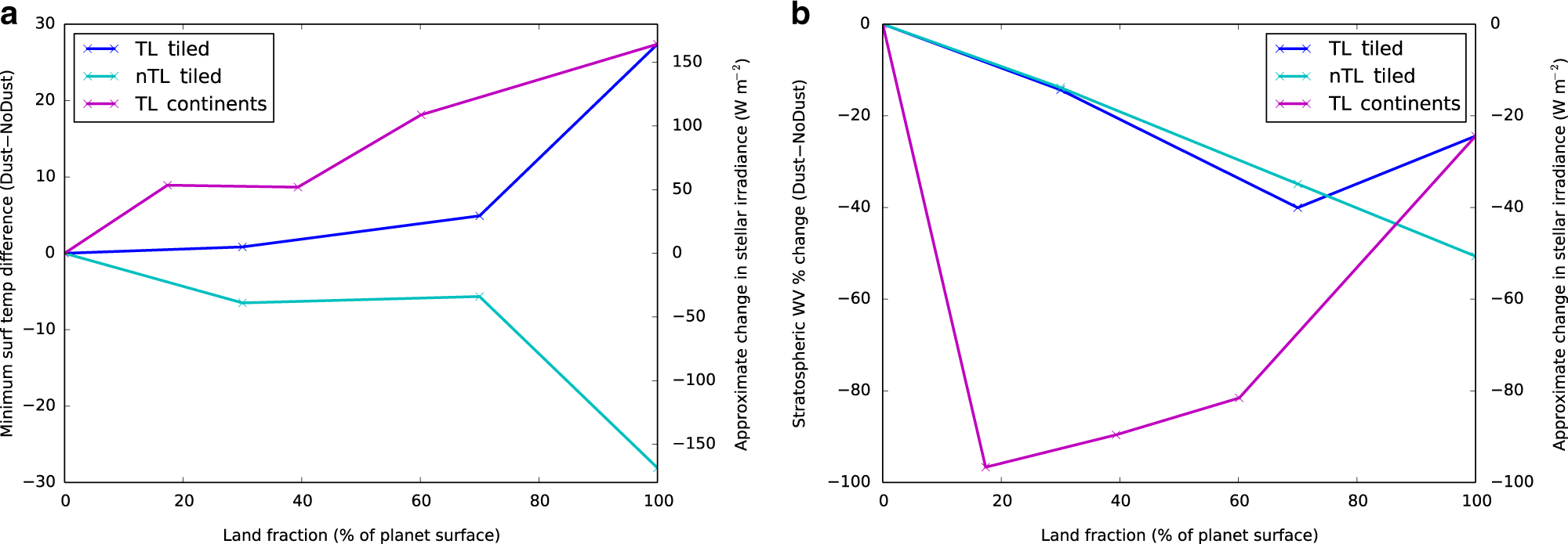
Fig. 2: Effect of dust on habitable zone boundary indicators.
From: Mineral dust increases the habitability of terrestrial planets but confounds biomarker detection

Differences in a minimum surface temperature, and b stratospheric (≈50 hPa) water-vapour content, between simulations with (Dust) and without (NoDust) mineral dust, as a function of land fraction. The different planetary and surface setups are shown in the legend. Approximate equivalent changes in stellar irradiance required to achieve similar responses in a dust-free planet are shown on the right axis.