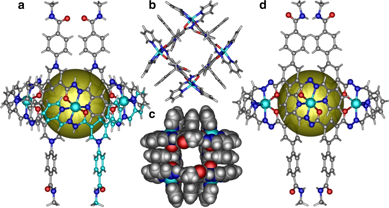
Fig. 2: Crystal structures of the molecular macrocycle hosts.

a Crystal structure of the macrocycle Zn–ZPA showing the coordination geometry of the zinc ions, the pocket and the distribution of the NADH-mimicking active sites and amide groups on the H2ZPA ligands. b Top view and c space-filling pattern of the macrocycle Zn–ZPA showing the resulting confined space and the open channels. d Crystal structure of the macrocycle Zn–PMA. Zn: cyan, O: red, N: blue, C: gray and H: white. Solvent molecules and counter ions are omitted for clarity.